Последно актуализиране :
27/04/2026
Вазодилататор   Ambrisentan  
Орален разтвор
Стабилност на лекарствени препарати Стабилност на смеси Фактори, повлияващи стабилността Съвместимост Библиография Pdf
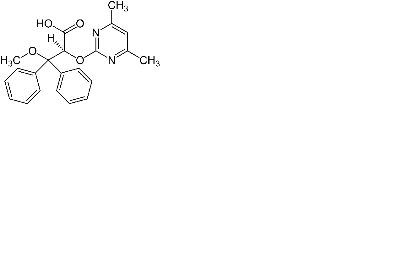
   Химична структура  

Орален разтвор
Стабилност на смеси   Орален разтвор   Стабилност на смеси : Ambrisentan     
Няма данни

  Mentions Légales