Siste oppdatering :
27/04/2026
Vasodilatator   Ambrisentan  
Mikstur
Stabilitet av farmasøytiske preparater Stabilitet i blandinger Faktorer som påvirker stabiliteten Kompatibilitet Referanser pdf
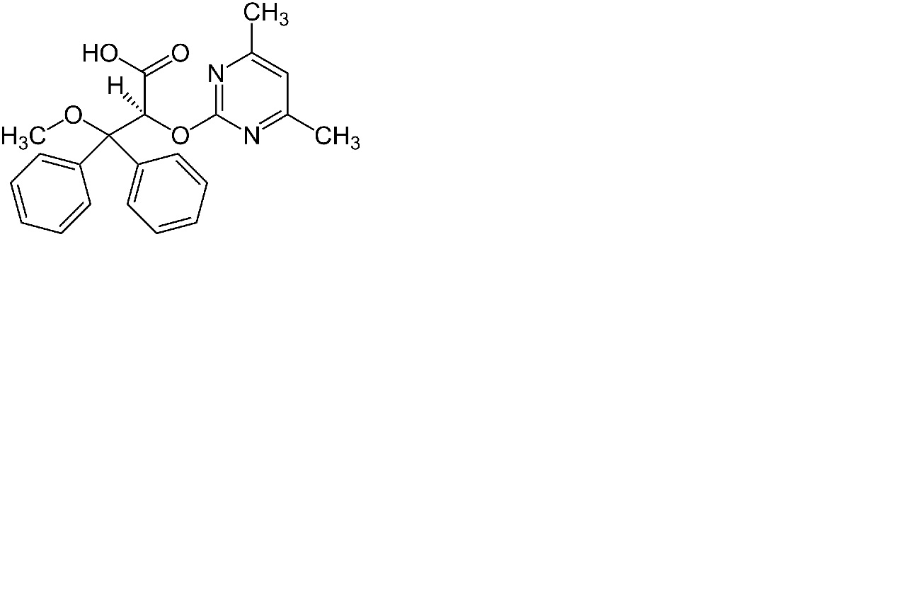
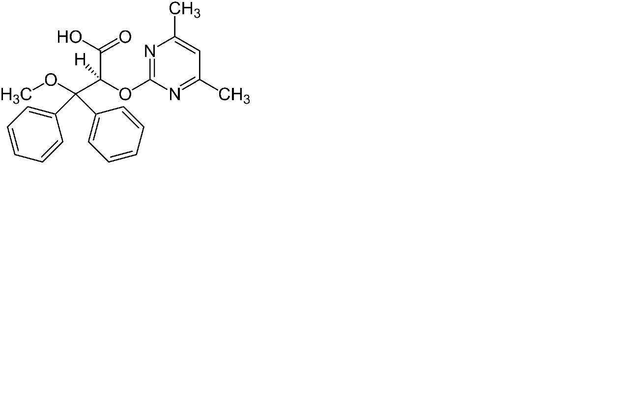
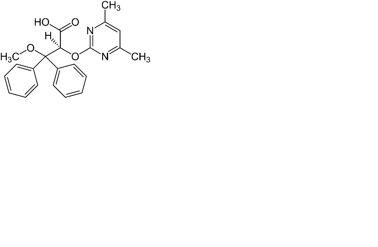
   Kjemisk struktur  

Mikstur
Stabilitet i blandinger   Mikstur   Stabilitet i blandinger : Ambrisentan     
Ingen opplysninger

  Mentions Légales