Ostatnia aktualizacja :
27/04/2026
Lek rozszerzający naczynia   Ambrisentan  
Roztwór doustny
Stabilność preparatów farmaceutycznych Trwałość w mieszaninie Czynnik wpływający na trwałość Zgodność Bibliografia pdf
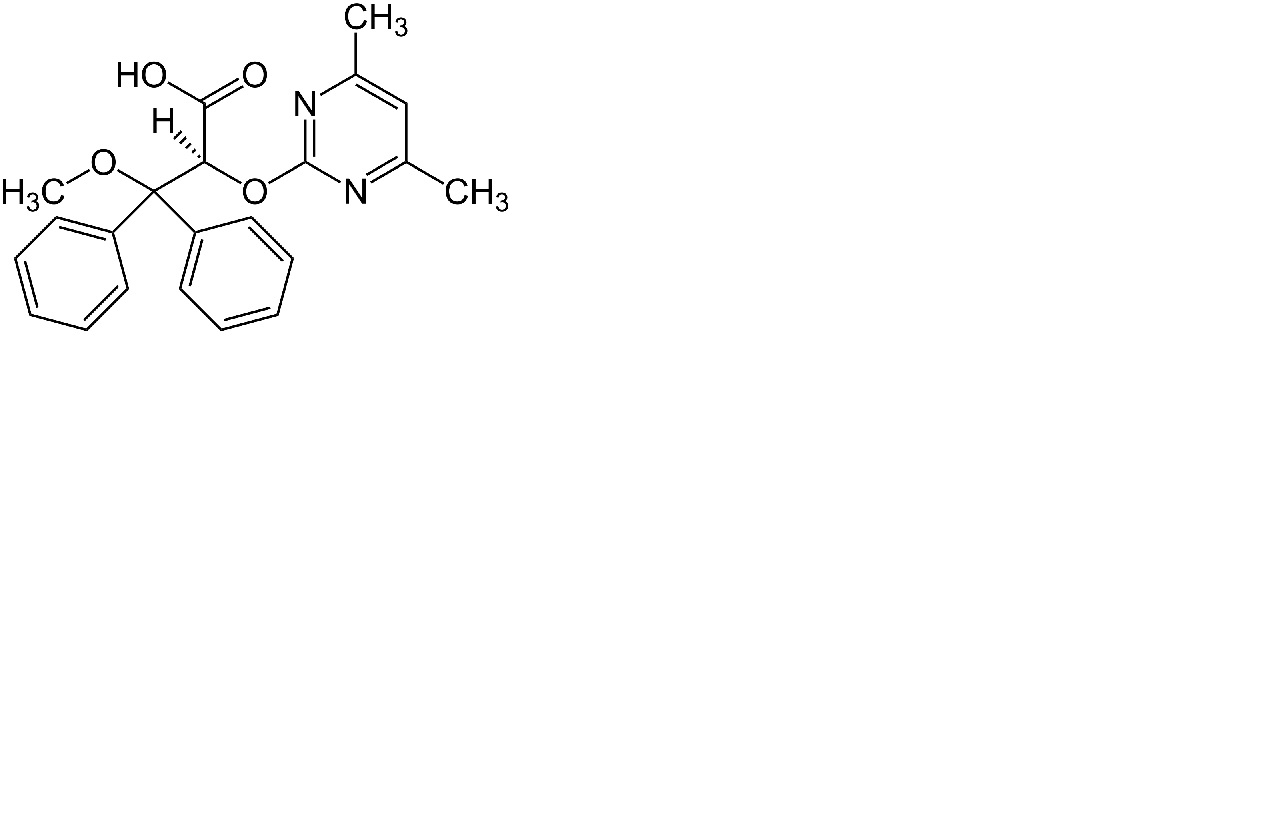
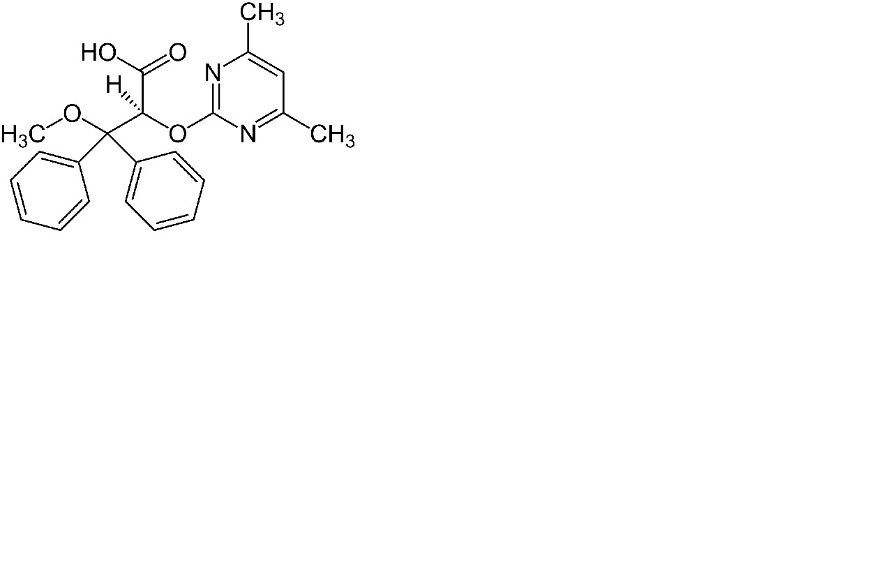
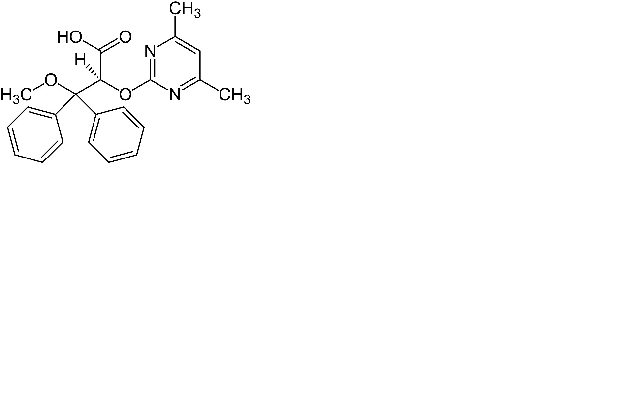
   Struktura chemiczna  

Roztwór doustny
Trwałość w mieszaninie   Roztwór doustny   Trwałość w mieszaninie : Ambrisentan     
Brak danych

  Mentions Légales