Senaste uppdateringen :
27/01/2026
Vitamin   Phytomenadione  
injektion
Oral lösning
Lösningars stabilitet Stabilitet i blandningar Faktorer som påverkar stabiliteten Kompatibilitet Administreringssätt Hänvisningar pdf
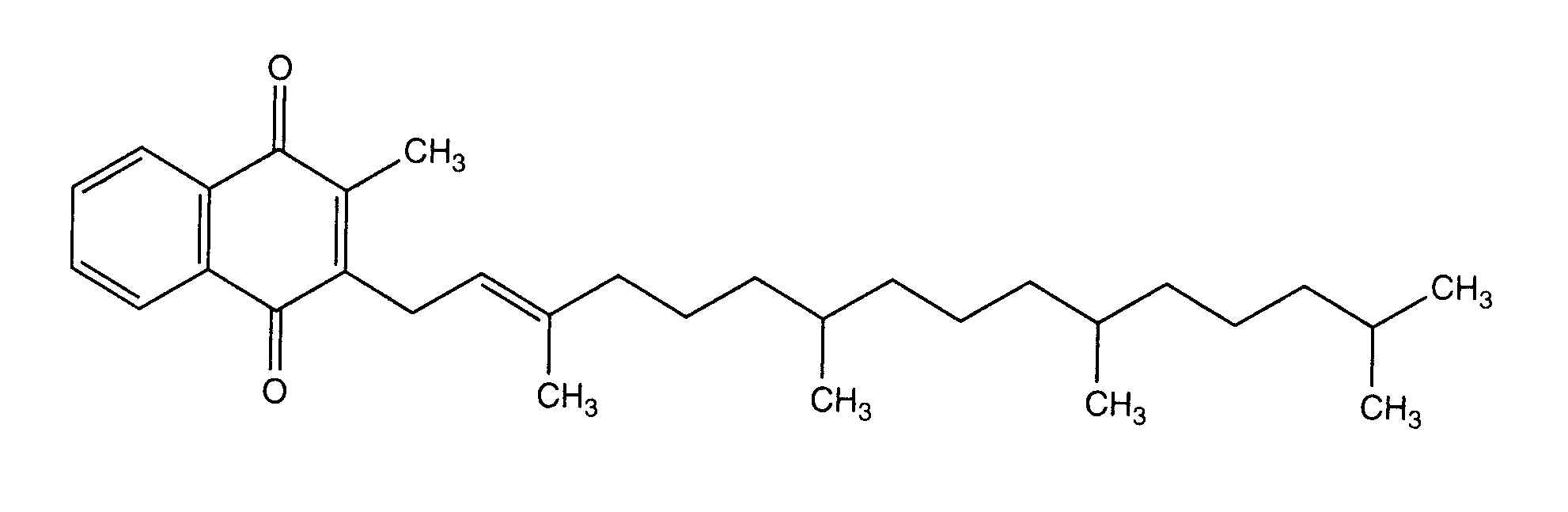
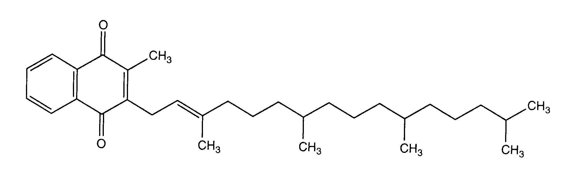
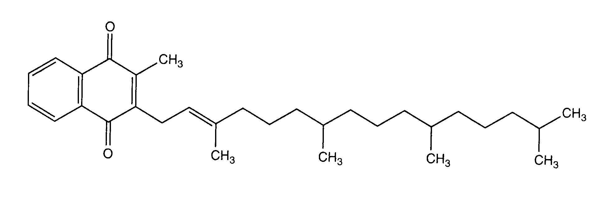
   Molekylstruktur  

Varunamn   Varunamn     

Angivna handelsnamn på läkemedel är enbart vägledande då formulering inklusive hjälpämnen kan variera mellan länder och tillverkare

Adcokion Egypten
Amidalak Mexiko
Amri-K Egypten
Aquamephyton Förenta Staterna
Epikavit Egypten
Haemokion Egypten
Hyvit Brasilien
Kanakion Brasilien, Portugal
Kavit Brasilien
Kenadion Indien
Kisan Malaysia
Konakion Argentina, Belgien, Chile, Colombia, Danmark, Ecuador, Egypten, Finland, Förenade Arabemiraten, Grekland, Irland, Island, Italien, Kroatien, Luxemburg, Marocko, Nederländerna, Norge, nya Zeeland, Österrike, Polen, Saudi-Arabien, Schweiz, Spanien, Storbritannien, Sverige, Turkiet, Tyskland, Ungern
Oskavit Iran
Rupek Argentina
Vikadic Iran
Vitatron Brasilien
Administreringssätt   Administreringssätt :Phytomenadione     
Voie
Intravenös
Intravenös infusion
Intramuskulär
Subkutan

  Mentions Légales