Τελευταία ενημέρωση :
27/01/2026
Βιταμίνη   Phytomenadione  
Ενέσιμο
Πόσιμο διάλυμα
Σταθερότητα διαλυμάτων Σταθερότητα σε μίγματα Παράγοντας που επηρεάζει τη σταθερότητα Συμβατότητες Τρόπος χορήγησης Βιβλιογραφία pdf
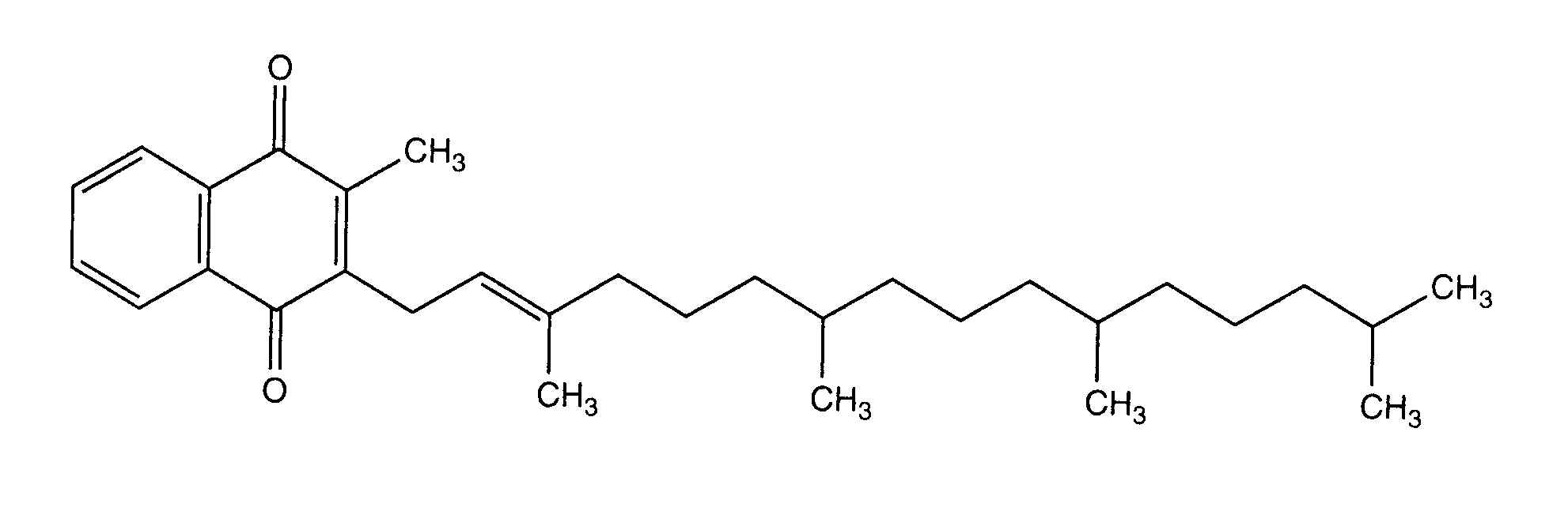
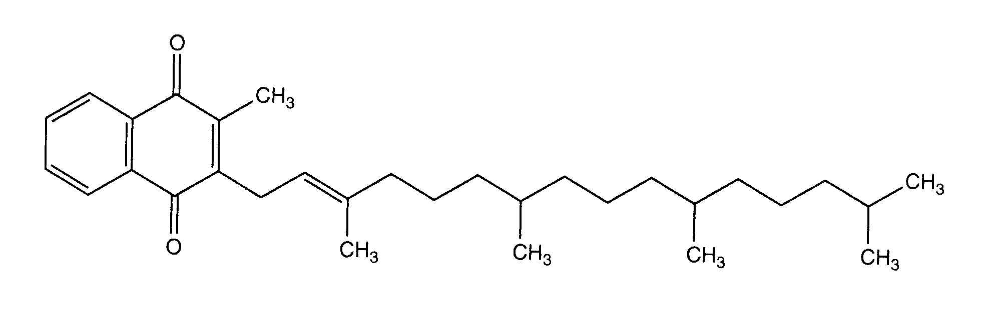
   χημική δομή  

Εμπορική ονομασία   Εμπορική ονομασία     

Οι εμπορικές ονομασίες είναι ενδεικτικές και η σύνθεση των εκδόχων μπορεί να διαφέρει ανάλογα με τη χώρα και τα εργαστήρια

Adcokion Αίγυπτος
Amidalak Μεξικό
Amri-K Αίγυπτος
Aquamephyton Η.Π.Α.
Epikavit Αίγυπτος
Haemokion Αίγυπτος
Hyvit Βραζιλία
Kanakion Βραζιλία, Πορτογαλία
Kavit Βραζιλία
Kenadion Ινδία
Kisan Μαλαισία
Konakion Yhdistyneet arabiemiirikunnat, Αίγυπτος, Αργεντινή, Αυστρία, Βέλγιο, Γερμανία, Δανία, Εκουαδόρ, Ελβετία, Ελλάδα, Ιρλανδία, Ισλανδία, Ισπανία, Ιταλία, Κολομβία, Κροατία, Λουξεμβούργο, Μαρόκο, Μεγάλη Βρετανία, νέα Ζηλανδία, Νορβηγία, Ολλανδία, Ουγγαρία, Πολωνία, Σαουδική Αραβία, Σουηδία, Τουρκία, Φινλανδία, Χιλή
Oskavit Ιράν
Rupek Αργεντινή
Vikadic Ιράν
Vitatron Βραζιλία
Τρόπος χορήγησης   Τρόπος χορήγησης :Phytomenadione     
Voie
Ενδοφλέβια
Ενδοφλέβια έκχυση
Ενδομυϊκή
Υποδόριος

  Mentions Légales