Последнее обновление :
27/01/2026
Витамин   Phytomenadione  
Инъекция
Раствор для перорального приёма
Стабильность растворов Стабильность смесей Факторы, которые влияют на стабильность Совместимость Способы введения Библиография pdf
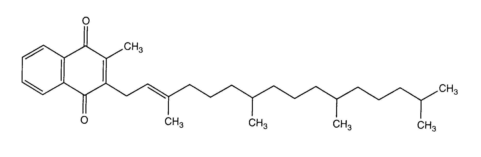
   Химическая структура  

Товарное название   Товарное название     

Trade names are indicative and excipients composition can be different depending on the country and manufacturers

Adcokion Египет
Amidalak Мексика
Amri-K Египет
Aquamephyton Соединённые Штаты Америки
Epikavit Египет
Haemokion Египет
Hyvit Бразилия
Kanakion Бразилия, Португалия
Kavit Бразилия
Kenadion Индия
Kisan Малайзия
Konakion Австрия, Аргентина, Бельгия, Великобритания, Венгрия, Германия, Голландия, Греция, Дания, Египет, Ирландия, Исландия, Испания, Италия, Колумбия, Люксембург, Марокко, новая Зеландия, Норвегия, Объединенные Арабские Эмираты, Польша, Саудовская Аравия, Турция, Финляндия, Хорватия, чили, Швейцария, Швеция, Эквадор
Oskavit Иран
Rupek Аргентина
Vikadic Иран
Vitatron Бразилия
Способы введения   Способы введения :Phytomenadione     
Voie
Интравенный, внутривенный
Интравенная, внутривенная инфузия
Внутримышечный
Подкожная инъекция

  Mentions Légales