viimane versioon :
27/01/2026
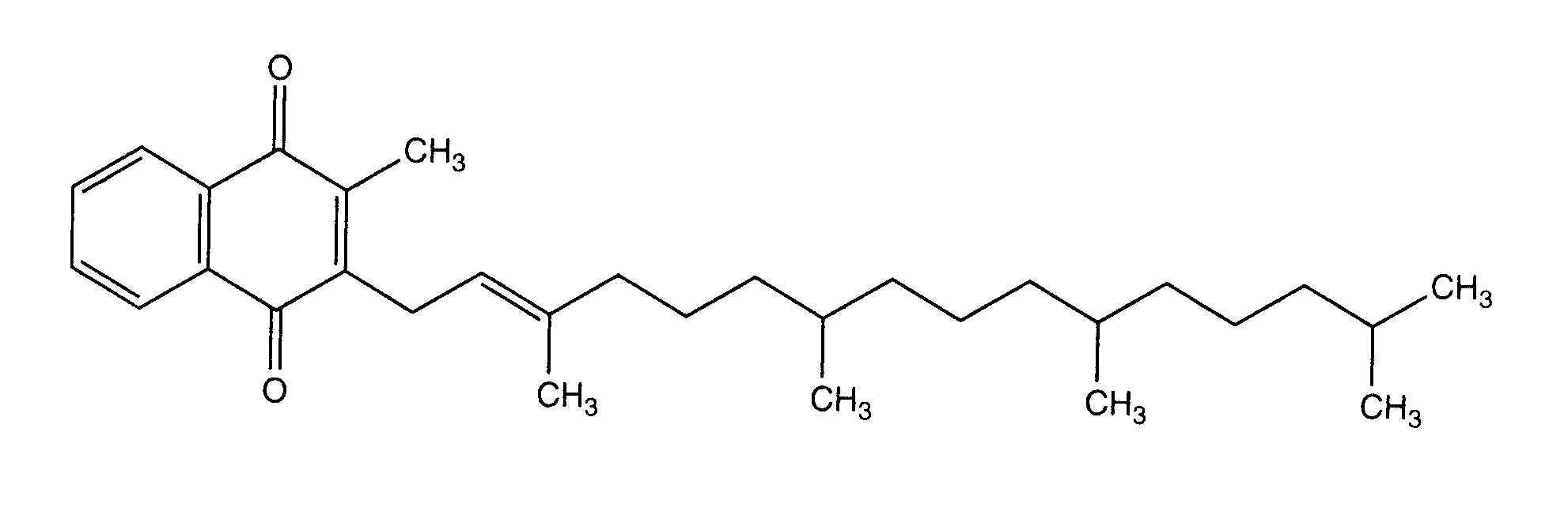
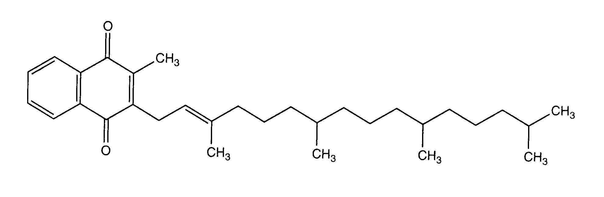
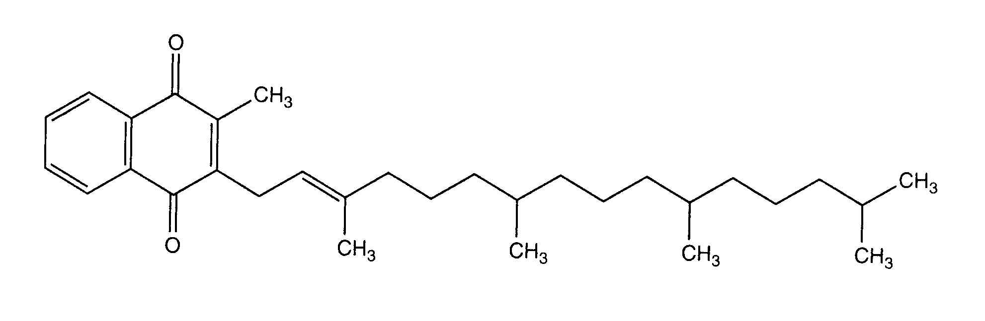
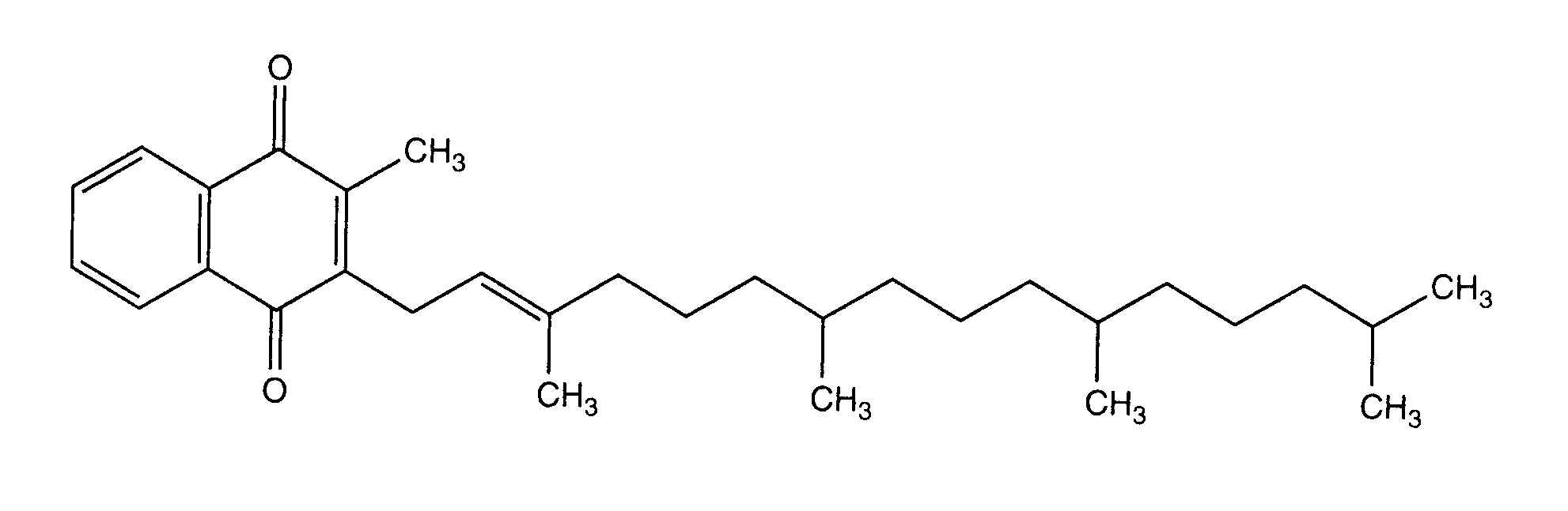
vitamiin   Phytomenadione  
Süsteravim
suukaudne lahus
Stabiilsus lahustes Stabiilsust mõjutavad tegurid stabiilsust mõjutavad faktorid Sobimatus Manustamis viis Viited pdf
   keemiline struktuur  

Kaubanduslikud nimed erinevates maades   Kaubanduslikud nimed erinevates maades     

Preparaatide nimed on näitlikud ja abianete sisaldus võib erineda sõltuvalt riigist ja laborist

Adcokion Egiptus
Amidalak Mehhiko
Amri-K Egiptus
Aquamephyton Ameerika ühendriigid
Epikavit Egiptus
Haemokion Egiptus
Hyvit Brasiilia
Kanakion Brasiilia, Portugal
Kavit Brasiilia
Kenadion India
Kisan Malaisia
Konakion Araabia Ühendemiraadid, Argentiina, Austria, Belgia, Ecuador, Egiptus, Hispaania, Holland, Horvaatia, Iirimaa, Island, Itaalia, Kolumbia, Kreeka, Luksemburg, Maroko, Norra, Poola, Rootsi, Saksamaa, Saudi Araabia, Soome, Suurbritannia, Sveits, Taani, Tšiili, Türgi, Ungari, uus-Meremaa
Oskavit Iraan
Rupek Argentiina
Vikadic Iraan
Vitatron Brasiilia
Manustamis viis   Manustamis viis :Phytomenadione     
Voie
intravenoosne
intravenoosne infusioon
intramuskulaarne
subkutaanne

  Mentions Légales