Última actualización :
27/01/2026
Vitamina   Phytomenadione  
Inyectables
Solución Oral
Estabilidad en solucion Estabilidad en mezcla Factores que influyen sobre la estabilidad Compatibilidades método de inyección Bibliografía pdf
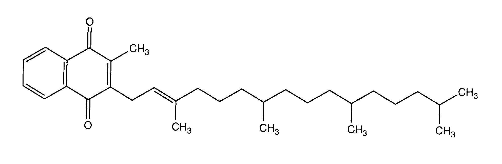
   Estructura química  

Nombre comercial   Nombre comercial     

Los nombres comerciales son orientativos y los excipientes de la formulación pueden ser distintos dependiendo del país y del laboratorio fabricante.

Adcokion Egipto
Amidalak México
Amri-K Egipto
Aquamephyton Estados Unidos de América
Epikavit Egipto
Haemokion Egipto
Hyvit Brasil
Kanakion Brasil, Portugal
Kavit Brasil
Kenadion India
Kisan Malasia
Konakion Alemania, Arabia Saudita, Argentina, Austria, Bélgica, Chile, Colombia, Croacia, Dinamarca, Ecuador, Egipto, Emiratos Árabes Unidos, España, Finlandia, Gran Bretaña, Grecia, Hungría, Irlanda, Islandia, Italia, Luxemburgo, Marruecos, Noruega, Nueva Zelanda, Países Bajos, Polonia, Suecia, Suiza, Turquía
Oskavit Irán
Rupek Argentina
Vikadic Irán
Vitatron Brasil
método de inyección   método de inyección :Phytomenadione     
Voie
Intravenoso
Perfusión intravenosa
Intramuscular
Subcutánea

  Mentions Légales