Останнє оновлення :
27/04/2026
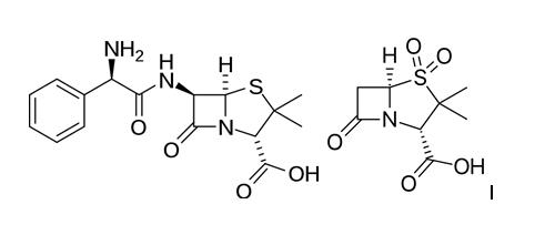
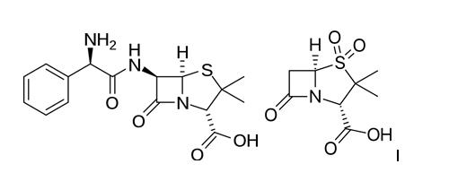
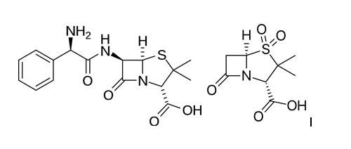
Антибіотик   Ampicillin sodium - sulbactam sodium  
ін'єкція
Стійкість в розчинах Стійкість сумішей Фактори, що впливають на стабільність Сумісність Шлях введення Список літератури pdf
   Хімічна структура  

Торгова назва   Торгова назва     

Торгові назви є орієнтовними, а склад допоміжних речовин може бути різним залежно від країни та виробника

Alfasid Туреччина
Ampibac Колумбія
Ampibactam Венесуела
Ampicillin sulbactam Австралія
Ampicillina sodica - sulbactam Бразилія, Еквадор
Ampictam Єгипет
Ampiplus Румунія, Саудівська Аравія
Ampisid Туреччина
Ampixim Венесуела
Bacimex Іспанія
Begalin Греція
Bethacil Італія
Cinclox Індія
Combicid Туреччина
Darzitil Аргентина
Duobaktam Туреччина
Duocid Туреччина
Galotam Іспанія
Libractam Чилі
Loricin Італія
Prixin Аргентина
Ranpisul Мексика
Retarpen Іспанія
Sabect Єгипет
Sulamp Колумбія
Sulbacter Венесуела
Sulbaksit Туреччина
Sulbin Єгипет
Sulcid Туреччина
Sumitan Венесуела, Колумбія
Synerpen Єгипет
Ultracillin Єгипет
Unacid Німеччина
Unacim Франція
Unasyn Єгипет, Іспанія, Італія, Австрія, Бразилія, Еквадор, Колумбія, Малайзія, Марокко, Мексика, Німеччина, Перу, Польща, Саудівська Аравія, Сполучені Штати Америки, Угорщина, Чилі, Японія
Unictam Єгипет
Xilbac Перу
Стійкість в розчинах   ін'єкція   Стійкість в розчинах : Ampicillin sodium - sulbactam sodium     
Контейнер Розчинник Концентрація температура Зберігання Тривалість стабільності Список літератури
Полівініл хлорид Натрію хлорид 0,9% 20 mg/ml 24°C Не визначено
24 годину
258
Рівень доказовості D

Полівініл хлорид Натрію хлорид 0,9% 20 mg/ml 5°C Не визначено
60 годину
258
Рівень доказовості D


  Mentions Légales