Ultimele actualizari :
05/12/2025
Antibiotic   Ampicillin sodium - sulbactam sodium  
Injectabil
Stabilitatea in solutie Stabilitatea in amestec Factorii care influenteaza stabilitatea Compatibilitate Microunde Bibliografie pdf
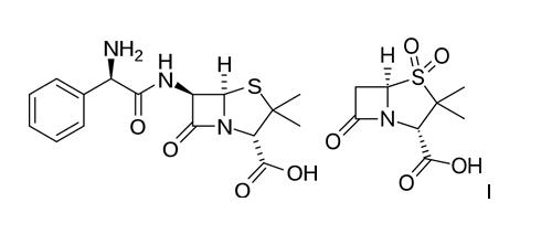
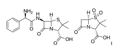
   Formula chimica  

Denumirea comerciala   Denumirea comerciala     

Trade names are indicative and excipients composition can be different depending on the country and manufacturers

Alfasid Turcia
Ampibac Columbia
Ampibactam Venezuela
Ampicillin sulbactam Australia
Ampicillina sodica - sulbactam Brazilia, Ecuador
Ampictam Egipt
Ampiplus Arabia Saudita, Romania
Ampisid Turcia
Ampixim Venezuela
Bacimex Spania
Begalin Grecia
Bethacil Italia
Cinclox India
Combicid Turcia
Darzitil Argentina
Duobaktam Turcia
Duocid Turcia
Galotam Spania
Libractam Chilli
Loricin Italia
Prixin Argentina
Ranpisul Mexic
Retarpen Spania
Sabect Egipt
Sulamp Columbia
Sulbacter Venezuela
Sulbaksit Turcia
Sulbin Egipt
Sulcid Turcia
Sumitan Columbia, Venezuela
Synerpen Egipt
Ultracillin Egipt
Unacid Germania
Unacim Franta
Unasyn Arabia Saudita, Austria, Brazilia, Chilli, Columbia, Ecuador, Egipt, Germania, Italia, Japonia, Malaezia, Maroc, Mexic, Peru, Polonia, Spania, SUA, Ungaria
Unictam Egipt
Xilbac Peru
Stabilitatea in solutie   Injectabil   Stabilitatea in solutie : Ampicillin sodium - sulbactam sodium     
Continut Solvent Concentratie Temperatura Conservare Durata stabilității Bibiografie
clorura de polivinil clorura de sodiu 0,9% 20 mg/ml 24°C Neprecizat
24 Ora
258
Nivel de evidență D

clorura de polivinil clorura de sodiu 0,9% 20 mg/ml 5°C Neprecizat
60 Ora
258
Nivel de evidență D


  Mentions Légales