Ostatnia aktualizacja :
27/04/2026
Antybiotyk   Ampicillin sodium - sulbactam sodium  
Injekcje
Trwałość roztworów Trwałość w mieszaninie Czynnik wpływający na trwałość Zgodność Sposób podania Bibliografia pdf
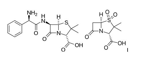
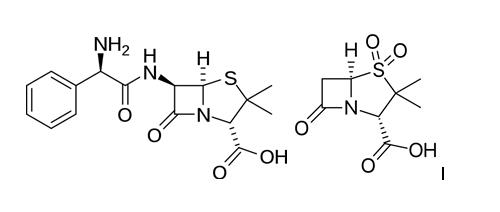
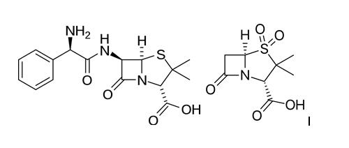
   Struktura chemiczna  

Nazwa handlowa   Nazwa handlowa     

Trade names are indicative and excipients composition can be different depending on the country and manufacturers

Alfasid Turcja
Ampibac KolumbiaKolumbia
Ampibactam Wenezuela
Ampicillin sulbactam Australia
Ampicillina sodica - sulbactam Brazylia, Ekwador
Ampictam Egipt
Ampiplus Arabia Saudyjska, Rumunia
Ampisid Turcja
Ampixim Wenezuela
Bacimex Hiszpania
Begalin Grecja
Bethacil Włochy
Cinclox Indie
Combicid Turcja
Darzitil Argentyna
Duobaktam Turcja
Duocid Turcja
Galotam Hiszpania
Libractam Chile
Loricin Włochy
Prixin Argentyna
Ranpisul Meksyk
Retarpen Hiszpania
Sabect Egipt
Sulamp KolumbiaKolumbia
Sulbacter Wenezuela
Sulbaksit Turcja
Sulbin Egipt
Sulcid Turcja
Sumitan KolumbiaKolumbia, Wenezuela
Synerpen Egipt
Ultracillin Egipt
Unacid Niemcy
Unacim Francja
Unasyn Arabia Saudyjska, Austria, Brazylia, Chile, Egipt, Ekwador, Hiszpania, Japonia, KolumbiaKolumbia, Malezja, Maroko, Meksyk, Niemcy, Peru, Polska, Stany Zjednoczone Ameryki, Węgry, Włochy
Unictam Egipt
Xilbac Peru
Trwałość roztworów   Injekcje   Trwałość roztworów : Ampicillin sodium - sulbactam sodium     
Pojemnik Rozpuszczalnik Stężenie Temperatura Przechowywanie Czas trwania stabilności Bibliografia
Polichlorek winylu Chlorek sodu 0,9% 20 mg/ml 24°C Nie wyszczególniony
24 Godzina
258
Poziom wiarygodności D

Polichlorek winylu Chlorek sodu 0,9% 20 mg/ml 5°C Nie wyszczególniony
60 Godzina
258
Poziom wiarygodności D


  Mentions Légales