Posledná aktualizácia :
27/04/2026
antibiotikum   Ampicillin sodium - sulbactam sodium  
Injekcia
Stabilita roztokov Stabilita v zmesiach Faktory ovplyvňujúce stabilitu Kompatibility spôsob podania Odkazy na literatúru PDF
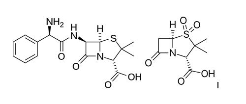
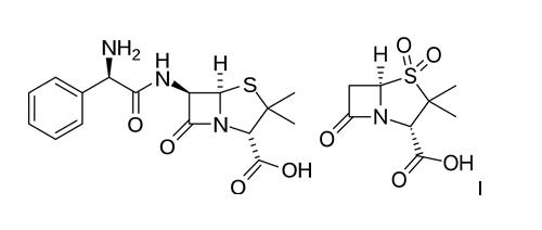
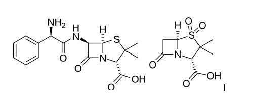
   Chemický vzorec  

Obchodný názov   Obchodný názov     

Obchodné názvy sú orientačné, a zloženie pomocných látok sa môže líšiť v závislosti od krajiny a výrobcu.

Alfasid Turecko
Ampibac Kolumbia
Ampibactam Venezuela
Ampicillin sulbactam Austrália
Ampicillina sodica - sulbactam Brazília, Ekvádor
Ampictam Egypt
Ampiplus Rumunsko, Saudská Arábia
Ampisid Turecko
Ampixim Venezuela
Bacimex Španielsko
Begalin Grécko
Bethacil Taliansko
Cinclox India
Combicid Turecko
Darzitil Argentína
Duobaktam Turecko
Duocid Turecko
Galotam Španielsko
Libractam Čile
Loricin Taliansko
Prixin Argentína
Ranpisul Mexiko
Retarpen Španielsko
Sabect Egypt
Sulamp Kolumbia
Sulbacter Venezuela
Sulbaksit Turecko
Sulbin Egypt
Sulcid Turecko
Sumitan Kolumbia, Venezuela
Synerpen Egypt
Ultracillin Egypt
Unacid Nemecko
Unacim Francúzsko
Unasyn Brazília, Čile, Egypt, Ekvádor, Japonsko, Kolumbia, Maďarsko, Malajzia, Maroko, Mexiko, Nemecko, peru, Poľsko, Rakúsko, Saudská Arábia, Španielsko, Spojené štáty Americké, Taliansko
Unictam Egypt
Xilbac peru
Stabilita roztokov   Injekcia   Stabilita roztokov : Ampicillin sodium - sulbactam sodium     
obal rozpúšťadlo koncentrácia teplota uchovávanie Trvanie stability odkazy na lieteratúru
polyvinylchlorid (PVC) 0,9% chlorid sodný 20 mg/ml 24°C nešpecifikované
24 hodín
258
Úroveň dôkazov D

polyvinylchlorid (PVC) 0,9% chlorid sodný 20 mg/ml 5°C nešpecifikované
60 hodín
258
Úroveň dôkazov D


  Mentions Légales