Poslední aktualizace :
27/04/2026
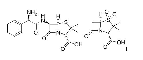
Antibiotikas   Ampicillin sodium - sulbactam sodium  
Įpurškimas
Tirpalų stabilumas Mišinių stabilumas Stabilumą lemiantys veiksniai Suderinamumas Leidimo būdai Bibliografija pdf
   Cheminė sandara  

Prekinis pavadinimas   Prekinis pavadinimas     

Trade names are indicative and excipients composition can be different depending on the country and manufacturers

Alfasid Turkija
Ampibac Kolumbija
Ampibactam Venesuela
Ampicillin sulbactam Australija
Ampicillina sodica - sulbactam Brazilija, Ekvadoras
Ampictam Egiptas
Ampiplus Rumunija, Saudo Arabija
Ampisid Turkija
Ampixim Venesuela
Bacimex Ispanija
Begalin Graikija
Bethacil Italija
Cinclox Indija
Combicid Turkija
Darzitil Argentina
Duobaktam Turkija
Duocid Turkija
Galotam Ispanija
Libractam Čilė
Loricin Italija
Prixin Argentina
Ranpisul Meksikas
Retarpen Ispanija
Sabect Egiptas
Sulamp Kolumbija
Sulbacter Venesuela
Sulbaksit Turkija
Sulbin Egiptas
Sulcid Turkija
Sumitan Kolumbija, Venesuela
Synerpen Egiptas
Ultracillin Egiptas
Unacid Vokietija
Unacim Prancūzija
Unasyn Austrija, Brazilija, Čilė, Egiptas, Ekvadoras, Ispanija, Italija, Japonija, Jungtinės Amerikos Valstijos, Kolumbija, Lenkija, Malaizija, Marokas, Meksikas, Peru, Saudo Arabija, Vengrija, Vokietija
Unictam Egiptas
Xilbac Peru
Tirpalų stabilumas   Įpurškimas   Tirpalų stabilumas : Ampicillin sodium - sulbactam sodium     
Pakuotė Tirpiklis Koncentracija Temperatūra Laikymas Stabilumo trukmė Nuorodos
Polivinilchloridas Natrio chloridas 0,9% 20 mg/ml 24°C Nenurodyta
24 Valanda
258
Bandymo lygis D

Polivinilchloridas Natrio chloridas 0,9% 20 mg/ml 5°C Nenurodyta
60 Valanda
258
Bandymo lygis D


  Mentions Légales