Последнее обновление :
27/01/2026
Сосудорасширяющее средство   Minoxidil  
Раствор для перорального приёма
Мази
Стабильность фармацевтических препаратов Стабильность смесей Факторы, которые влияют на стабильность Совместимость Библиография pdf
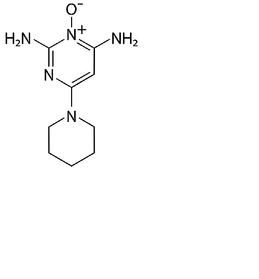
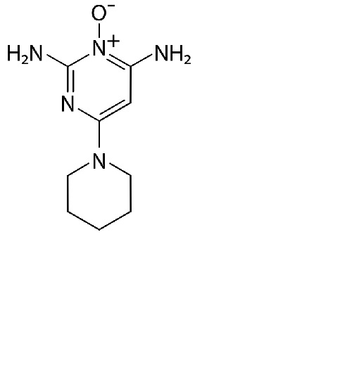
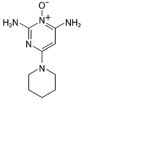
   Химическая структура  

Раствор для перорального приёма
Стабильность смесей   Раствор для перорального приёма   Стабильность смесей : Minoxidil     
данных нет

  Mentions Légales