Poslední aktualizace :
27/01/2026
Kraujagysles plečiantis vaistas   Minoxidil  
Geriamas tirpalas
Tepalai
Stabilumas farmacinių preparatų Mišinių stabilumas Stabilumą lemiantys veiksniai Suderinamumas Bibliografija pdf
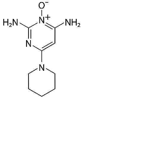
   Cheminė sandara  

Geriamas tirpalas
Mišinių stabilumas   Geriamas tirpalas   Mišinių stabilumas : Minoxidil     
Nėra duomenų

  Mentions Légales