最新更新 :
27/01/2026
扩张血管药   Minoxidil  
口服剂
药膏
制剂的稳定性 混合物稳定性 影响稳定性的因素 兼容性 引用文献 PDF
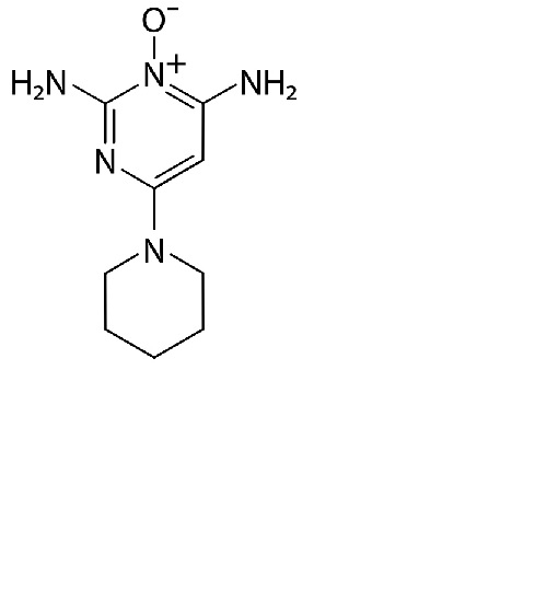
   化学式  

口服剂
混合物稳定性   口服剂   混合物稳定性 : Minoxidil     
无数据

  Mentions Légales