Ultimele actualizari :
27/01/2026
Vasodilatator   Minoxidil  
Soluţie orală
Unguente
Stabilitatea preparatelor farmaceutice Stabilitatea in amestec Factorii care influenteaza stabilitatea Compatibilitate Bibliografie pdf
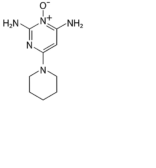
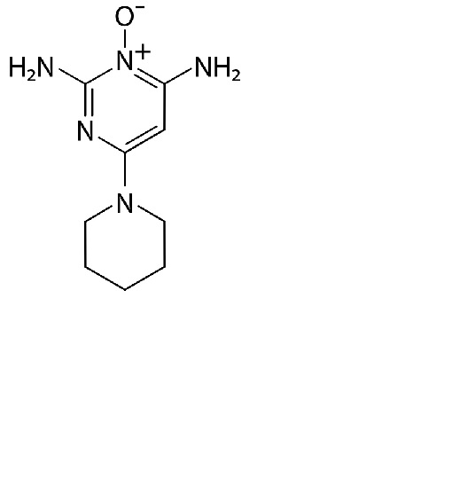
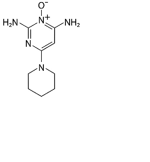
   Formula chimica  

Soluţie orală
Stabilitatea in amestec   Soluţie orală   Stabilitatea in amestec : Minoxidil     
Absenta de date

  Mentions Légales