Viimeisin päivitys :
27/01/2026
Vasodilataattorit   Minoxidil  
Oraaliliuos
Salvat
Vakaus lääkevalmisteen Stabilius seoksissa Tekijät, jotka vaikuttavat stabiliuteen Yhteensopivuus Viitteet pdf
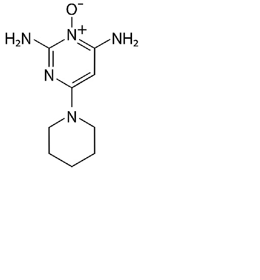
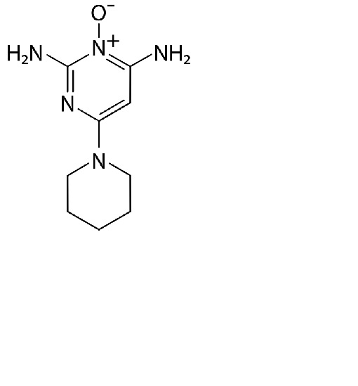
   Kemiallinen rakenne  

Oraaliliuos
Stabilius seoksissa   Oraaliliuos   Stabilius seoksissa : Minoxidil     
ei tietoa

  Mentions Légales