Zadnji put ažurirano :
27/01/2026
vazodilatator   Minoxidil  
oralna otopina
masti
Stabilnost farmaceutskih pripravaka Stabilnost mješavine Stabilizacijski faktor Kompatibilnosti Bibliografija pdf
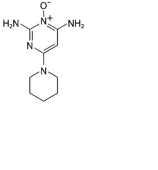
   Kemijska struktura  

oralna otopina
Stabilnost mješavine   oralna otopina     Stabilnost mješavine : Minoxidil     
bez podataka

  Mentions Légales