Son güncelleme :
27/04/2026
Antibiyotik   Colistin sulfate  
Oral solüsyon / oral çözelti
Farmasötik preparatlar Kararlılığı Karışımlardaki stabilitesi Stabiliteyi etkileyen faktörler Uyumluluk Kaynaklar pdf
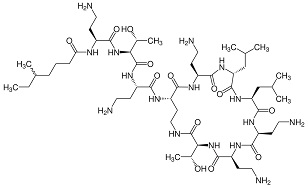
   Kimyasal yapı   

Oral solüsyon / oral çözelti
Farmasötik preparatlar Kararlılığı   Oral solüsyon / oral çözelti   Farmasötik preparatlar Kararlılığı : Colistin sulfate     
veri yok

  Mentions Légales