Posledná aktualizácia :
27/04/2026
antibiotikum   Colistin sulfate  
Perorálny roztok
Stabilita farmaceutických prípravkov Stabilita v zmesiach Faktory ovplyvňujúce stabilitu Kompatibility Odkazy na literatúru PDF
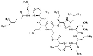
   Chemický vzorec  

Perorálny roztok
Stabilita farmaceutických prípravkov   Perorálny roztok   Stabilita farmaceutických prípravkov : Colistin sulfate     
žiadne údaje

  Mentions Légales