Seneste opdatering :
27/04/2026
Antibiotisk   Colistin sulfate  
Oral opløsning
Stabilitet af farmaceutiske tilberedninger Stabilitet i blandinger Faktorer der påvirker stabiliteten Kompatibilitet Bibliografi pdf
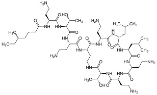
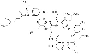
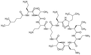
   Kemisk struktur  

Oral opløsning
Stabilitet af farmaceutiske tilberedninger   Oral opløsning   Stabilitet af farmaceutiske tilberedninger : Colistin sulfate     
Ingen data

  Mentions Légales