Poslední aktualizace :
27/04/2026
Antibiotikum   Colistin sulfate  
Perorální roztok
Stabilita farmaceutických přípravků Stabilita směsí Faktory ovlivňující stabilitu Kompatibilita Odkazy pdf
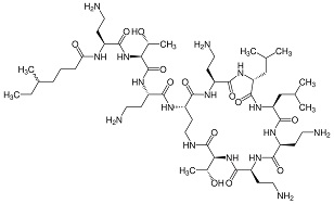
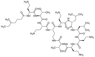
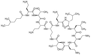
   Chemický vzorec  

Perorální roztok
Stabilita farmaceutických přípravků   Perorální roztok   Stabilita farmaceutických přípravků : Colistin sulfate     
žádná data

  Mentions Légales