Son güncelleme :
27/01/2026
Antibiyotik   Colistin sulfate  
Oral solüsyon / oral çözelti
Farmasötik preparatlar Kararlılığı Karışımlardaki stabilitesi Stabiliteyi etkileyen faktörler Uyumluluk Kaynaklar pdf
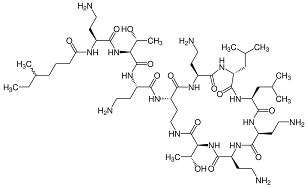
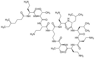
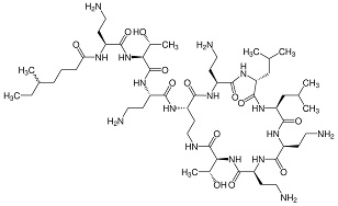
   Kimyasal yapı   

Oral solüsyon / oral çözelti

Stabiliteyi etkileyen faktörler    Oral solüsyon / oral çözelti   Stabiliteyi etkileyen faktörler : Colistin sulfate        
veri yok

  Mentions Légales