Pēdējā atjaunošana :
27/01/2026
Antibiotika   Colistin sulfate  
Orāls šķīdums
Stabilitāte farmaceitisko preparātu Maisījuma stabilitāte Stabilitāti ietekmējoši faktori Saderība Literatūras saraksts pdf
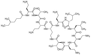
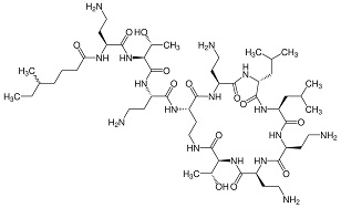
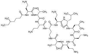
   Ķīmiskā uzbūve   

Orāls šķīdums

Stabilitāti ietekmējoši faktori   Orāls šķīdums   Stabilitāti ietekmējoši faktori : Colistin sulfate        
Nav datu

  Mentions Légales