Last update :
27/04/2026
Antibiotic   Colistin sulfate  
Oral solution
Stability of pharmaceutical preparations Stability of mixtures Factors which affect stability Compatibility References pdf
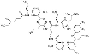
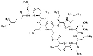
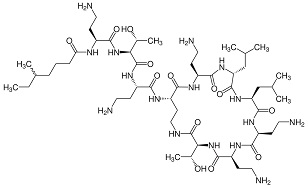
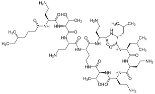
   Chemical structure  

Oral solution

Factors which affect stability   Oral solution   Factors which affect stability : Colistin sulfate        
No data

  Mentions Légales