Siste oppdatering :
27/04/2026
Antibiotika   Colistin sulfate  
Mikstur
Stabilitet av farmasøytiske preparater Stabilitet i blandinger Faktorer som påvirker stabiliteten Kompatibilitet Referanser pdf
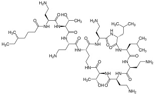
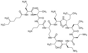
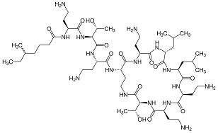
   Kjemisk struktur  

Mikstur

Faktorer som påvirker stabiliteten   Mikstur   Faktorer som påvirker stabiliteten : Colistin sulfate        
Ingen opplysninger

  Mentions Légales