Pēdējā atjaunošana :
27/04/2026
Antibiotika   Colistin sulfate  
Orāls šķīdums
Stabilitāte farmaceitisko preparātu Maisījuma stabilitāte Stabilitāti ietekmējoši faktori Saderība Literatūras saraksts pdf
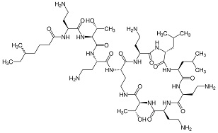
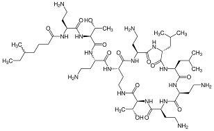
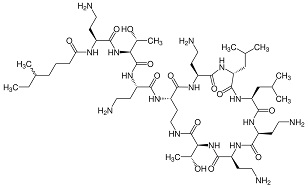
   Ķīmiskā uzbūve   

Orāls šķīdums
Saderība   Orāls šķīdums   Saderība : Colistin sulfate              
Nav datu

  Mentions Légales