Последно актуализиране :
27/04/2026
Антибиотик   Colistin sulfate  
Орален разтвор
Стабилност на лекарствени препарати Стабилност на смеси Фактори, повлияващи стабилността Съвместимост Библиография Pdf
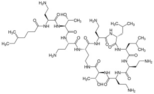
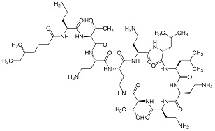
   Химична структура  

Орален разтвор
Съвместимост   Орален разтвор   Съвместимост : Colistin sulfate              
Няма данни

  Mentions Légales