آخر تحديث :
27/04/2026
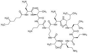
مضاد حيوي   Colistin sulfate  
عن طريق الفم
استقرار المستحضرات الصيدلانية استقرار مخاليط العوامل التي تؤثر على الاستقرار التوافق مراجع pdf
   التركيب الكيميائي  

عن طريق الفم
التوافق   عن طريق الفم     التوافق : Colistin sulfate              
لا توجد بيانات

  Mentions Légales