Viimeisin päivitys :
27/04/2026
Antibiootit   Colistin sulfate  
Oraaliliuos
Vakaus lääkevalmisteen Stabilius seoksissa Tekijät, jotka vaikuttavat stabiliuteen Yhteensopivuus Viitteet pdf
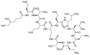
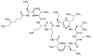
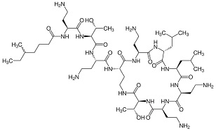
   Kemiallinen rakenne  

Oraaliliuos
Yhteensopivuus   Oraaliliuos   Yhteensopivuus : Colistin sulfate              
ei tietoa

  Mentions Légales