Ostatnia aktualizacja :
27/04/2026
Infostab
Listy
Listy
Szukaj zgodności
Tabela kompatybilności Y-site
Bibliografia
Zespoły badawcze
valistab
plakat
Połączenia
sponsorzy
Autor
Przewodnik użytkoywnika
Biuletynu
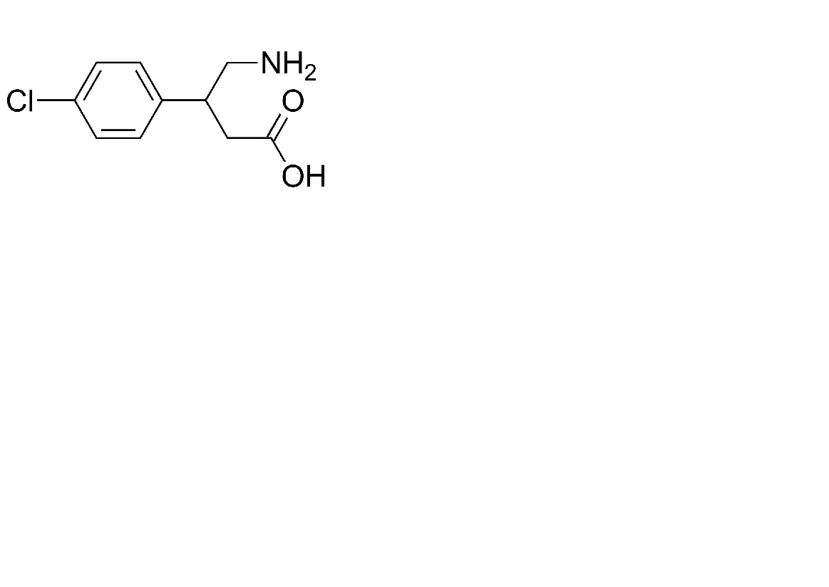
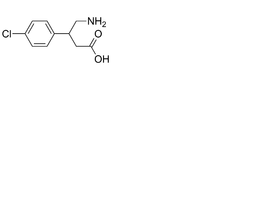
Baclofen
Struktura chemiczna
Bibliografia : Baclofen
typ
publikacja
3971
Czasopismo
Gorman G, Sokom S, Coward L, Arnold J J.
Development and Application of a High-Performance Liquid Chromatography Stability-Indicating Assay for Beyond-Use Date Determination of Compounded Topical Gels Containing Multiple Active Drugs.
Int J Pharm Compound 2017 ; 21, 2 : 164-170.
Mentions Légales