Siste oppdatering :
27/04/2026
Infostab
Lister
Sammendrag
Søk etter kompatibilitet
Y-side kompatibilitetstabell
Referanser
Forskerteamet
valistab
plakat
Tilkoblinger
sponsorer
Forfatter
Instruksjon
Nyhetsbrev
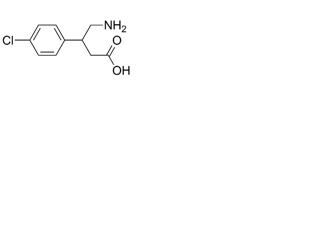
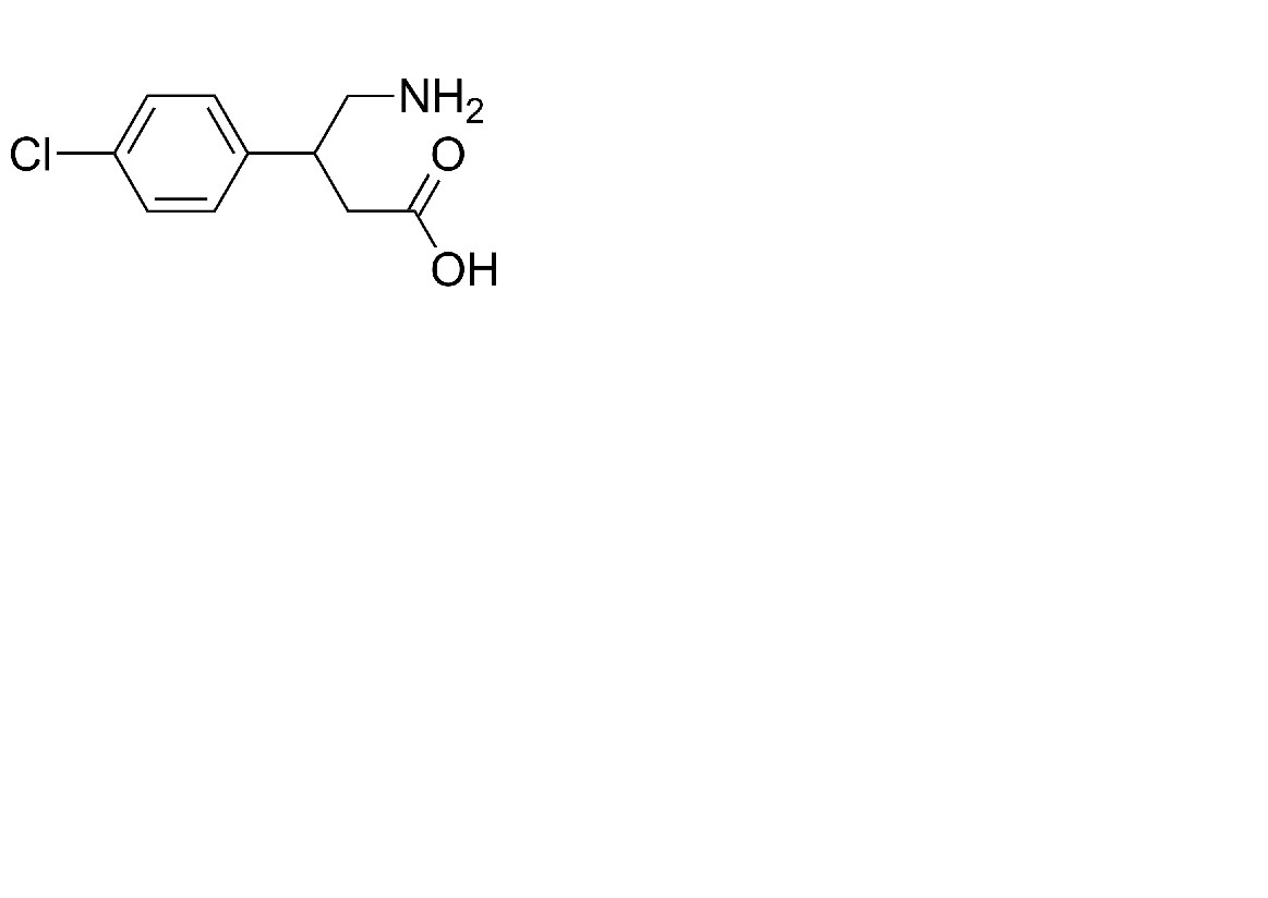
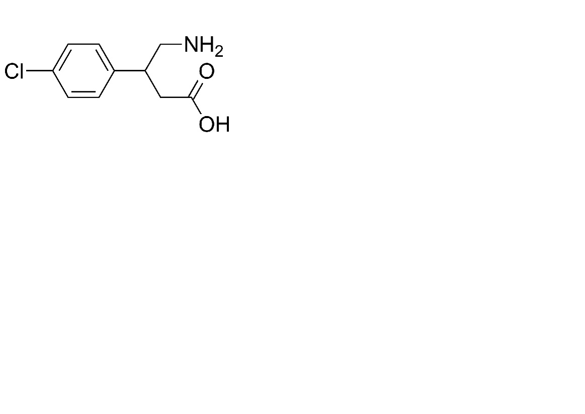
Baclofen
Kjemisk struktur
Referanser : Baclofen
Type
publikasjon
3971
Journal
Gorman G, Sokom S, Coward L, Arnold J J.
Development and Application of a High-Performance Liquid Chromatography Stability-Indicating Assay for Beyond-Use Date Determination of Compounded Topical Gels Containing Multiple Active Drugs.
Int J Pharm Compound 2017 ; 21, 2 : 164-170.
Mentions Légales