Ultimo aggiornamento :
27/04/2026
Infostab
Elenco delle molecole
Elenchi sommari
Cerca compatibilità
Tabella di compatibilità del sito Y
Bibliografia
Le squadre di ricerca
valistab
poster
Connessioni
sponsor
Autori
Manuale d’uso
Bollettino
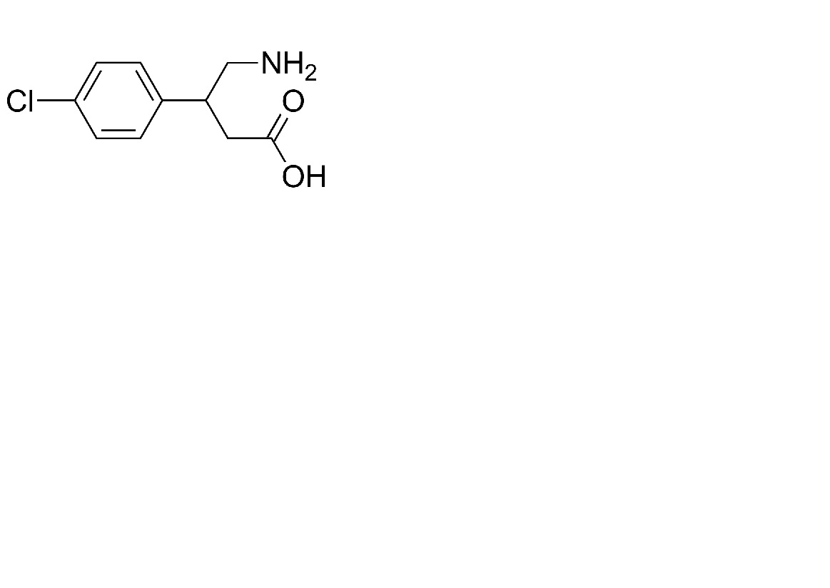
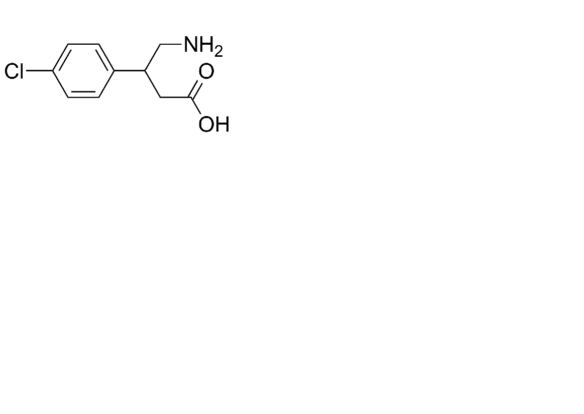
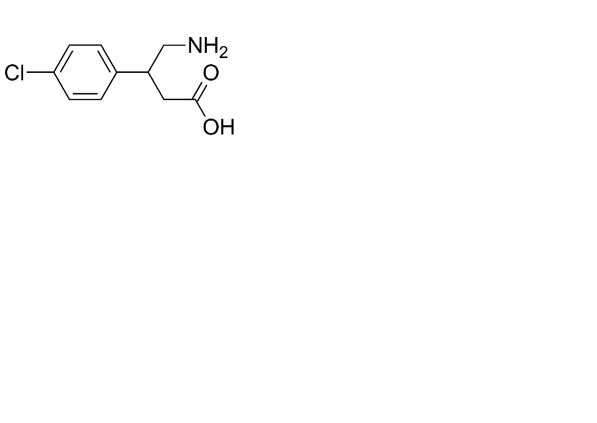
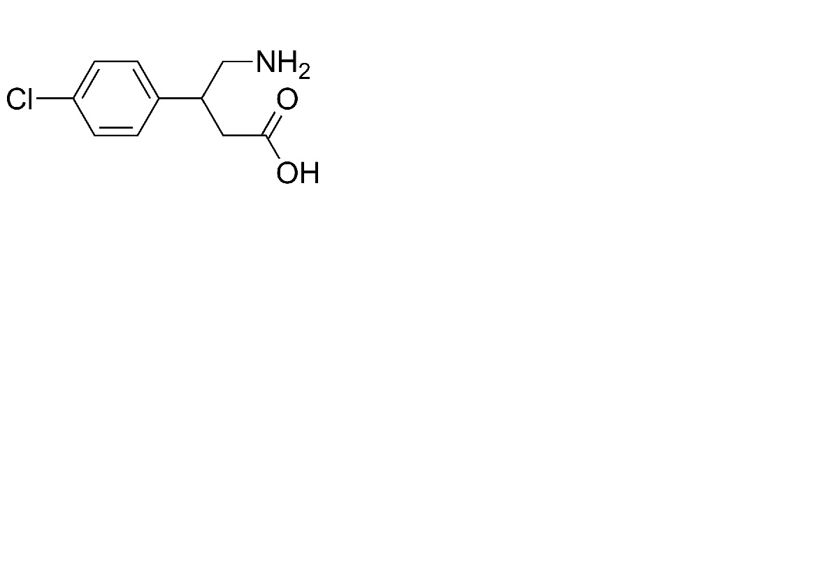
Baclofen
Struttura chimica
Bibliografia : Baclofen
tipo
pubblicazione
3971
Rivista
Gorman G, Sokom S, Coward L, Arnold J J.
Development and Application of a High-Performance Liquid Chromatography Stability-Indicating Assay for Beyond-Use Date Determination of Compounded Topical Gels Containing Multiple Active Drugs.
Int J Pharm Compound 2017 ; 21, 2 : 164-170.
Mentions Légales