Utolsó frissítés :
27/04/2026
Infostab
Listák
Összesítő lista
Kompatibilitások keresése
Y-site kompatibilitási táblázat
Irodalom
kutatócsoportok
valistab
poszter
Kapcsolatok
támogatók
Szerző
Felhasználói útmutató
Hírlevél
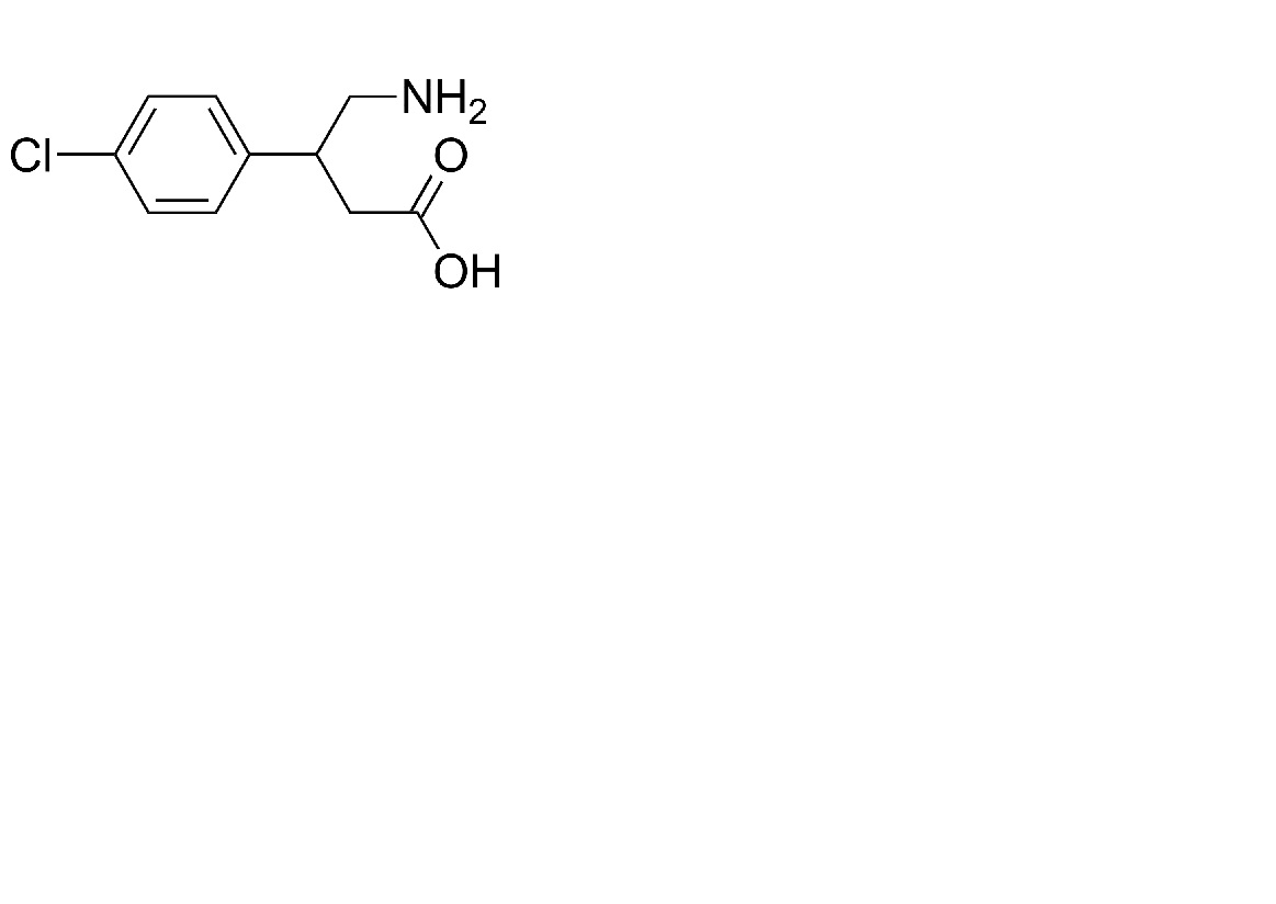
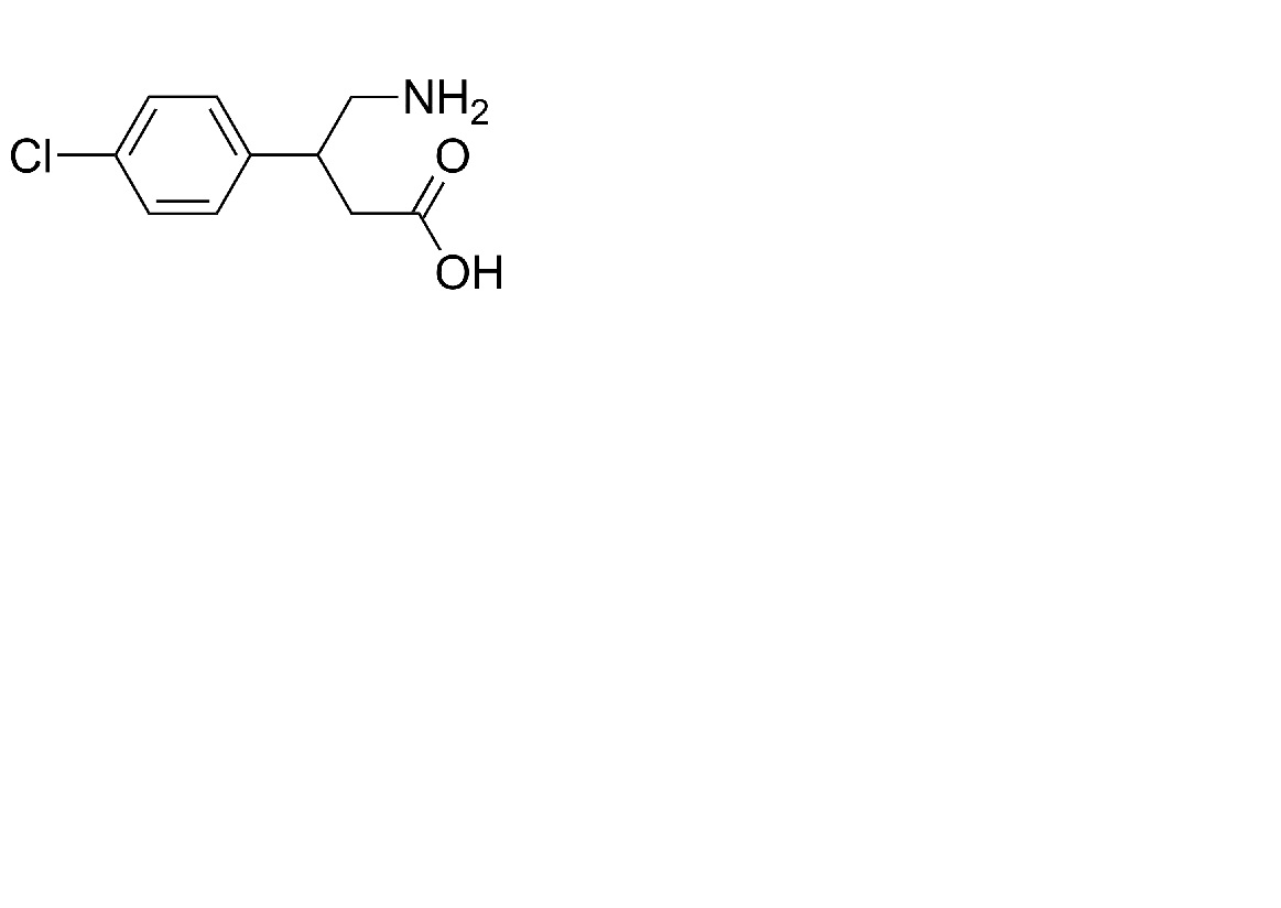
Baclofen
Kémiai szerkezet
Irodalom : Baclofen
Type
publikáció
3971
Napló
Gorman G, Sokom S, Coward L, Arnold J J.
Development and Application of a High-Performance Liquid Chromatography Stability-Indicating Assay for Beyond-Use Date Determination of Compounded Topical Gels Containing Multiple Active Drugs.
Int J Pharm Compound 2017 ; 21, 2 : 164-170.
Mentions Légales