Cập nhật lần cuối :
27/04/2026
Khác   Indocyanine green  
Dạng tiêm
Tính ổn định của các dung dịch Độ ổn định khi trộn lẫn Những yếu tố ảnh hưởng đến độ ổn định Khả năng tương thích Đường dùng Tài liệu tham khảo Pdf
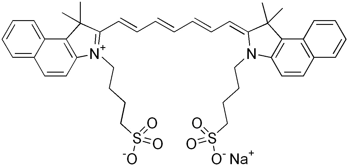
   Cấu trúc hóa học  

Tên thương mại   Tên thương mại     

Các tên thương mại được cung cấp và thành phần tá dược có thể khác nhau giữa các quốc gia và các hãng dược

Infracyanine Pháp
Verdye Bỉ, Hungary, Ireland, Romania, Tây Ban Nha, Thụy Điển, Ý, Đức
Tính ổn định của các dung dịch   Dạng tiêm   Tính ổn định của các dung dịch : Indocyanine green     
Bao bì Dung môi Nồng độ Nhiệt độ Bảo quản Thời gian ổn định Mục lục
Thủy tinh Nước cất pha tiêm 0,025 mg/ml 4°C Tránh ánh sáng
24 Giờ
4289
Cấp độ bằng chứng D

ống tiêm polypropylene Nước cất pha tiêm 2,5 mg/ml -20°C Không rõ
28 Ngày
4246
Cấp độ bằng chứng C

ống tiêm polypropylene Nước cất pha tiêm 2,5 mg/ml 25°C Không rõ
30 Giờ
4246
Cấp độ bằng chứng C

ống tiêm polypropylene Nước cất pha tiêm 2,5 mg/ml 4°C Không rõ
32 Giờ
4246
Cấp độ bằng chứng C


  Mentions Légales