Τελευταία ενημέρωση :
05/12/2025
Λοιπά   Indocyanine green  
Ενέσιμο
Σταθερότητα διαλυμάτων Σταθερότητα σε μίγματα Παράγοντας που επηρεάζει τη σταθερότητα Συμβατότητες Τρόπος χορήγησης Βιβλιογραφία pdf
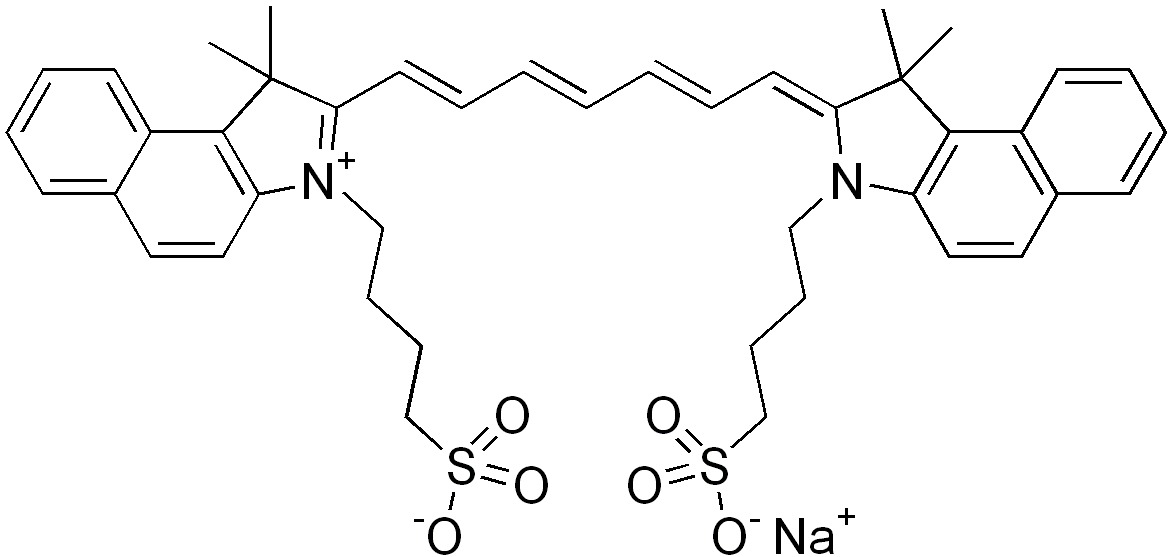
   χημική δομή  

Εμπορική ονομασία   Εμπορική ονομασία     

Οι εμπορικές ονομασίες είναι ενδεικτικές και η σύνθεση των εκδόχων μπορεί να διαφέρει ανάλογα με τη χώρα και τα εργαστήρια

Infracyanine Γαλλία
Verdye Βέλγιο, Γερμανία, Ιρλανδία, Ισπανία, Ιταλία, Ουγγαρία, Ρουμανία, Σουηδία
Σταθερότητα διαλυμάτων   Ενέσιμο   Σταθερότητα διαλυμάτων : Indocyanine green     
Υποδοχέας Διαλυτικό Συγκέντρωση Θερμοκρασία Αποθήκευση Διάρκεια σταθερότητας Βιβλιογραφία
Ύαλος Ενέσιμο ύδωρ 0,025 mg/ml 4°C Προστατεύετε από το φως
24 Ώρα
4289
Επίπεδο των αποδεικτικών στοιχείων D

σύριγγα πολυπροπυλένιο Ενέσιμο ύδωρ 2,5 mg/ml -20°C Απροσδιόριστο
28 Ημέρα
4246
Επίπεδο των αποδεικτικών στοιχείων C

σύριγγα πολυπροπυλένιο Ενέσιμο ύδωρ 2,5 mg/ml 25°C Απροσδιόριστο
30 Ώρα
4246
Επίπεδο των αποδεικτικών στοιχείων C

σύριγγα πολυπροπυλένιο Ενέσιμο ύδωρ 2,5 mg/ml 4°C Απροσδιόριστο
32 Ώρα
4246
Επίπεδο των αποδεικτικών στοιχείων C


  Mentions Légales