Ultimele actualizari :
21/01/2026
Diverse   Indocyanine green  
Injectabil
Stabilitatea in solutie Stabilitatea in amestec Factorii care influenteaza stabilitatea Compatibilitate Microunde Bibliografie pdf
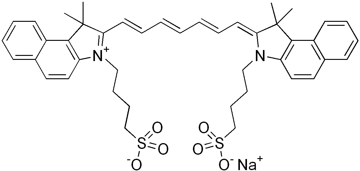
   Formula chimica  

Denumirea comerciala   Denumirea comerciala     

Trade names are indicative and excipients composition can be different depending on the country and manufacturers

Infracyanine Franta
Verdye Belgia, Germania, Irlanda, Italia, Romania, Spania, Suedia, Ungaria
Stabilitatea in solutie   Injectabil   Stabilitatea in solutie : Indocyanine green     
Continut Solvent Concentratie Temperatura Conservare Durata stabilității Bibiografie
sticla apa pentru preparate injectabile 0,025 mg/ml 4°C Ferit de lumina
24 Ora
4289
Nivel de evidență D

seringă polipropileno apa pentru preparate injectabile 2,5 mg/ml -20°C Neprecizat
28 Ziua
4246
Nivel de evidență C

seringă polipropileno apa pentru preparate injectabile 2,5 mg/ml 25°C Neprecizat
30 Ora
4246
Nivel de evidență C

seringă polipropileno apa pentru preparate injectabile 2,5 mg/ml 4°C Neprecizat
32 Ora
4246
Nivel de evidență C


  Mentions Légales