Laatste update :
21/01/2026
Diverse   Indocyanine green  
injecteerbaar geneesmiddel
Stabiliteit in oplossing Stabiliteit in mengsels Factoren die de stabiliteit beïnvloeden Verenigbaarheden Toedieningswijze Literatuur pdf
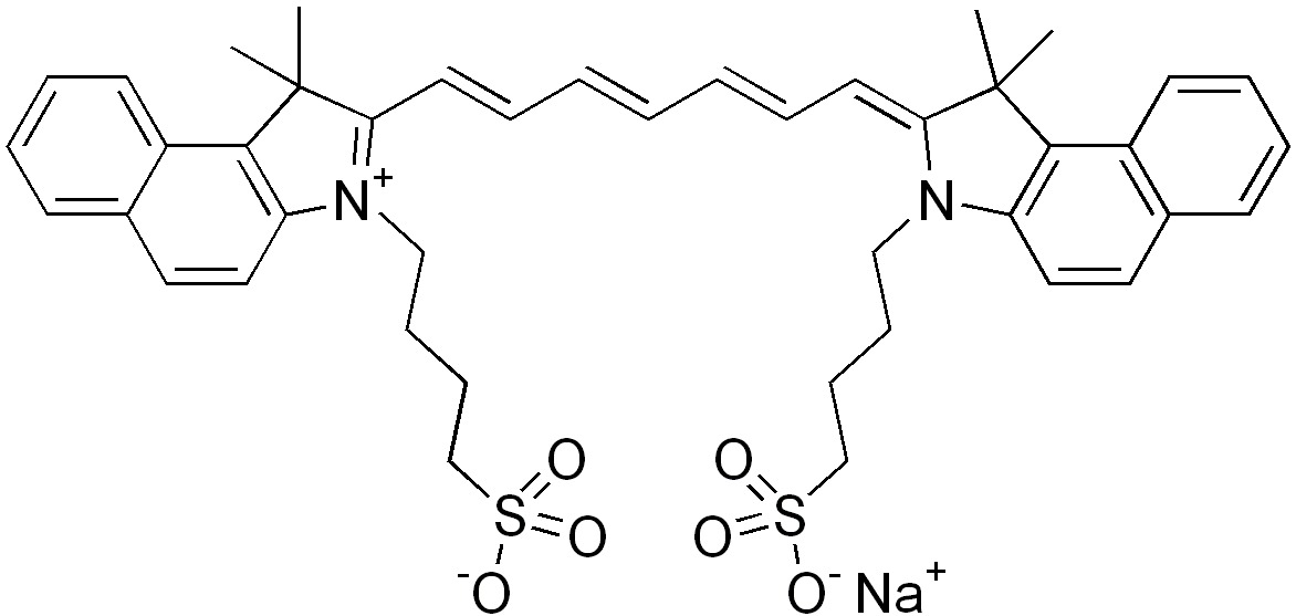
   Molecuulstructuur  

Merknamen in verschillende landen   Merknamen in verschillende landen     

Handelsnamen zijn slechts een indicatie; de samenstelling van hulpstoffen kan per land variëren afhankelijk van de fabrikant

Infracyanine Frankrijk
Verdye België, Duitsland, Hongarije, Ierland, Italië, Roemenië, Spanje, Zweden
Stabiliteit in oplossing   injecteerbaar geneesmiddel   Stabiliteit in oplossing : Indocyanine green     
Verpakking Oplosmiddel Concentratie Temperatuur Bewaring Duur van de stabiliteit Literatuur
Glas Water voor injectie 0,025 mg/ml 4°C Buiten invloed van licht
24 Uur
4289
Bewijsniveau D

injectiespuit polypropyleen Water voor injectie 2,5 mg/ml -20°C Niet gespecificeerd
28 Dag
4246
Bewijsniveau C

injectiespuit polypropyleen Water voor injectie 2,5 mg/ml 25°C Niet gespecificeerd
30 Uur
4246
Bewijsniveau C

injectiespuit polypropyleen Water voor injectie 2,5 mg/ml 4°C Niet gespecificeerd
32 Uur
4246
Bewijsniveau C


  Mentions Légales