Letztes “update” :
27/04/2026
Verschiedenes   Indocyanine green  
Injektion
Stabilität der Lösung Gemengestabilität Stabilitätbeeinflussende Faktoren Kompatibilitäten Applikationsart Literaturverzeichnis pdf
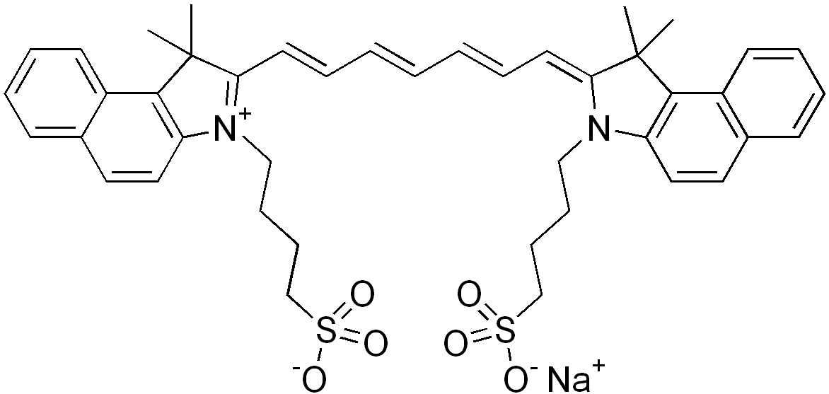
   Chemische Struktur  

Handelsmarke   Handelsmarke     

Handelsnamen sind als beispielhaft anzusehen. Sonstige Bestandteile können je nach Hersteller oder Land verschieden sein

Infracyanine Frankreich
Verdye Belgien, Deutschland, Irland, Italien, Rumänien, Schweden, Spanien, Ungarn
Stabilität der Lösung   Injektion   Stabilität der Lösung : Indocyanine green     
Behälter Lösungsmittel Konzentration Temperatur Konservierung Dauer der Stabilität Literaturverzeichnis
Glas Wasser für injektable präparate 0,025 mg/ml 4°C Ohne Licht
24 Stunde
4289
Evidenzgrad D

 Spritze Polypropylen Wasser für injektable präparate 2,5 mg/ml -20°C Nicht genau angegeben
28 Tag
4246
Evidenzgrad C

 Spritze Polypropylen Wasser für injektable präparate 2,5 mg/ml 25°C Nicht genau angegeben
30 Stunde
4246
Evidenzgrad C

 Spritze Polypropylen Wasser für injektable präparate 2,5 mg/ml 4°C Nicht genau angegeben
32 Stunde
4246
Evidenzgrad C


  Mentions Légales