Ostatnia aktualizacja :
27/04/2026
Różne   Indocyanine green  
Injekcje
Trwałość roztworów Trwałość w mieszaninie Czynnik wpływający na trwałość Zgodność Sposób podania Bibliografia pdf
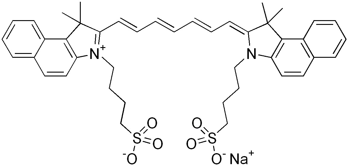
   Struktura chemiczna  

Nazwa handlowa   Nazwa handlowa     

Trade names are indicative and excipients composition can be different depending on the country and manufacturers

Infracyanine Francja
Verdye Belgia, Hiszpania, Irlandia, Niemcy, Rumunia, Szwecja, Węgry, Włochy

Czynnik wpływający na trwałość   Injekcje   Czynnik wpływający na trwałość : Indocyanine green        
Bibliografia
Przechowywanie światło Wywołuje Degradacja 4289
Rozpuszczalnik Chlorek sodu 0,9% Wywołuje Precypitacja 3930
Temperatura 4°C Wywołuje Wzmożona stabilność 4289

  Mentions Légales