最新更新 :
27/04/2026
様々なもの   Indocyanine green  
注射薬
溶媒内の安定性 混合時の安定性 安定性に影響する因子 互換性 投与経路 引用文献 PDF
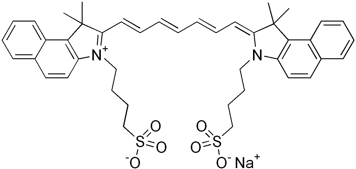
   化学構造  

商品名   商品名     

商品名、賦形剤は国、製薬会社ごとに異なることがあります

Infracyanine フランス
Verdye アイルランド, イタリア, スウェーデン, スペイン, ドイツ, ハンガリー, ベルギー, ルーマニア

安定性に影響する因子   注射薬   安定性に影響する因子 : Indocyanine green        
引用文献
保管 光 誘導 分解 4289
溶媒 NaCl 0,9% 誘導 沈殿 3930
温度 4°C 誘導 安定性促進 4289

  Mentions Légales