Son güncelleme :
27/04/2026
Çeşitli   Indocyanine green  
Enjeksiyon
Çözeltilerin stabilitesi Karışımlardaki stabilitesi Stabiliteyi etkileyen faktörler Uyumluluk Uygulama yöntemi Kaynaklar pdf
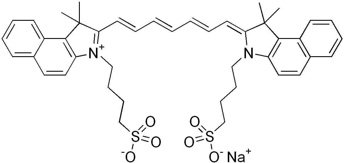
   Kimyasal yapı   

Ticari isim   Ticari isim     

Trade names are indicative and excipients composition can be different depending on the country and manufacturers

Infracyanine Fransa
Verdye Almanya, Belçika, İrlanda, İspanya, İsveç, İtalya, Macaristan, Romanya

Stabiliteyi etkileyen faktörler    Enjeksiyon    Stabiliteyi etkileyen faktörler : Indocyanine green        
Kaynaklar
Saklama    I_ık İndükler Parçalanma 4289
Çözücü Sodyum klorür % 0,9 İndükler Çökme 3930
Isı 4°C İndükler Stabilitede artış 4289

  Mentions Légales