viimane versioon :
27/04/2026
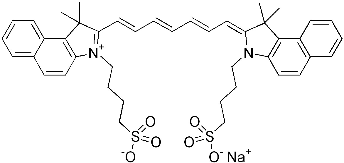
mitmesugune   Indocyanine green  
Süsteravim
Stabiilsus lahustes Stabiilsust mõjutavad tegurid stabiilsust mõjutavad faktorid Sobimatus Manustamis viis Viited pdf
   keemiline struktuur  

Kaubanduslikud nimed erinevates maades   Kaubanduslikud nimed erinevates maades     

Preparaatide nimed on näitlikud ja abianete sisaldus võib erineda sõltuvalt riigist ja laborist

Infracyanine Prantsusmaa
Verdye Belgia, Hispaania, Iirimaa, Itaalia, Rootsi, Rumeenia, Saksamaa, Ungari

stabiilsust mõjutavad faktorid   Süsteravim   stabiilsust mõjutavad faktorid : Indocyanine green        
Viited
ladustamine valgus indutseerib degradatsioon 4289
lahusti naatriumkloriid 0.9% indutseerib sadenemine 3930
temperatuur 4°C indutseerib stabiilsuse suurenemine 4289

  Mentions Légales