zadnja posodobitev :
27/01/2026
Antibiotik   Clindamycine hydrochloride  
Peroralna raztopina
Stabilnost farmacevtskih preparatov Stabilnost mešanice Faktorji, ki vplivajo na stabilnost Kompatibilnost Viri pdf
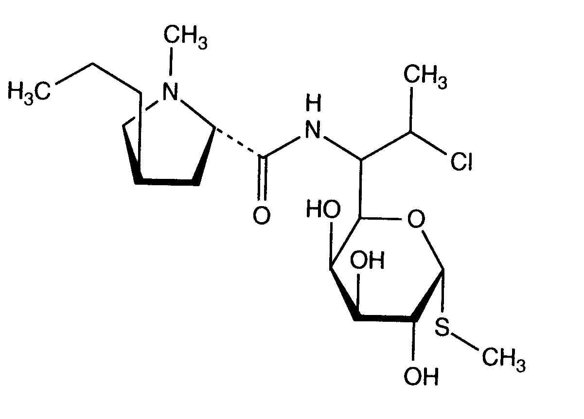
   Kemična formula  

Peroralna raztopina
Stabilnost farmacevtskih preparatov   Peroralna raztopina   Stabilnost farmacevtskih preparatov : Clindamycine hydrochloride     
Vsebnik Origine Ekscipient Temperatura Shranjevanje Trajanje stabilnosti Viri
Nedoločeno Prašek 50 mg
® = ?
Suspendit® >> 5 mL
2-8°C Zaščiteno pred svetlobo
180 Dan
3901

Nedoločeno Prašek 50 mg
® = ?
Suspendit® >> 5 mL
25°C Zaščiteno pred svetlobo
45 Dan
3901


  Mentions Légales