Zadnji put ažurirano :
27/01/2026
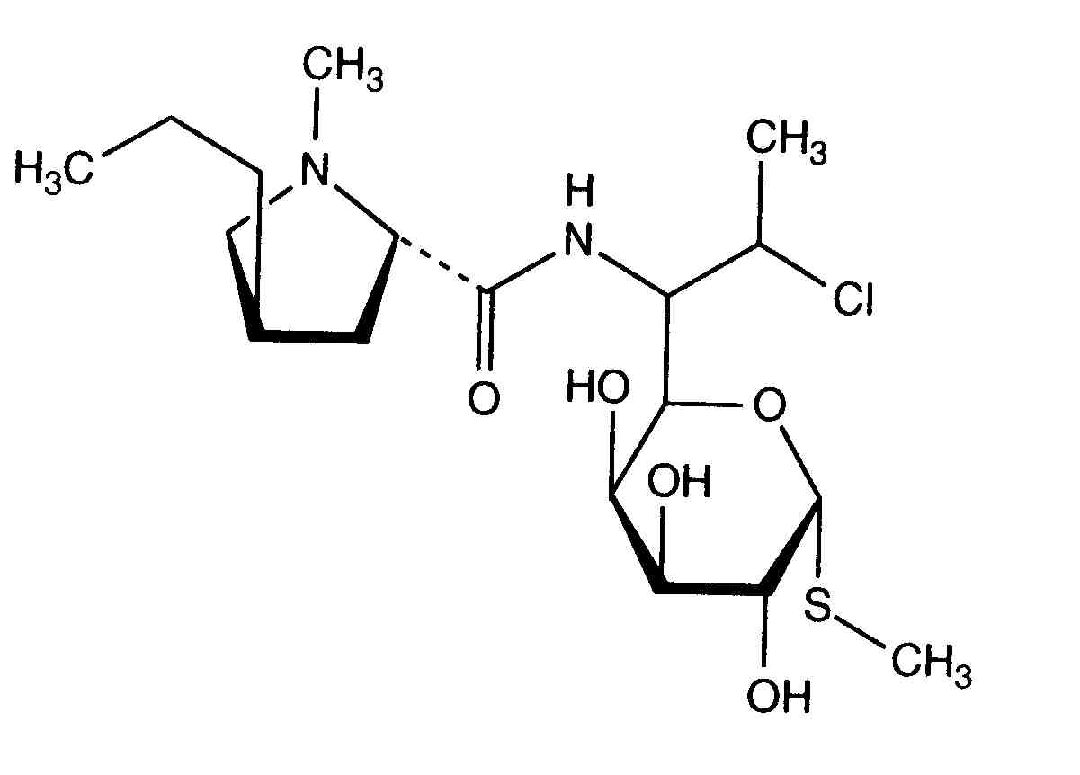
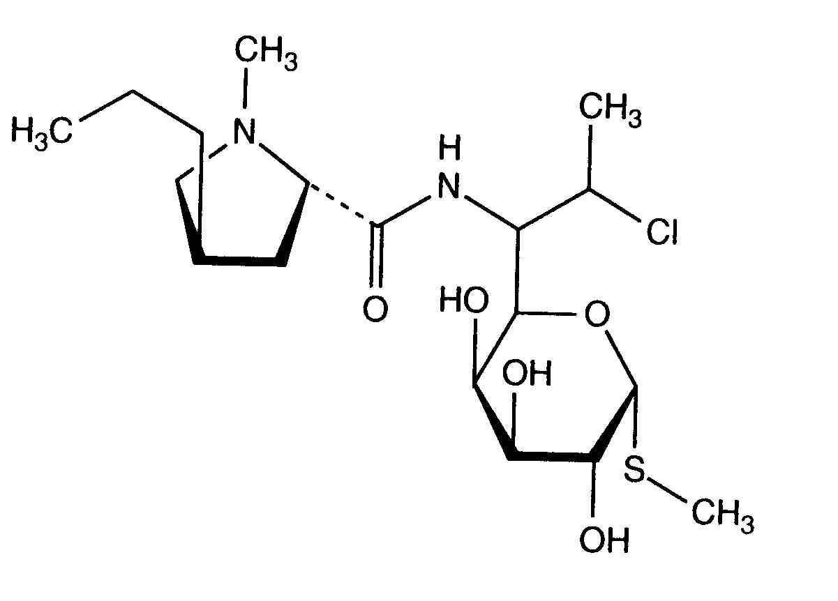
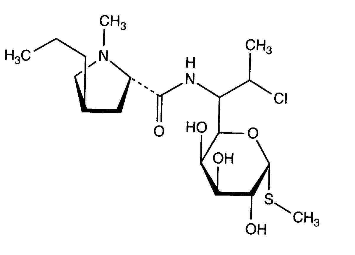
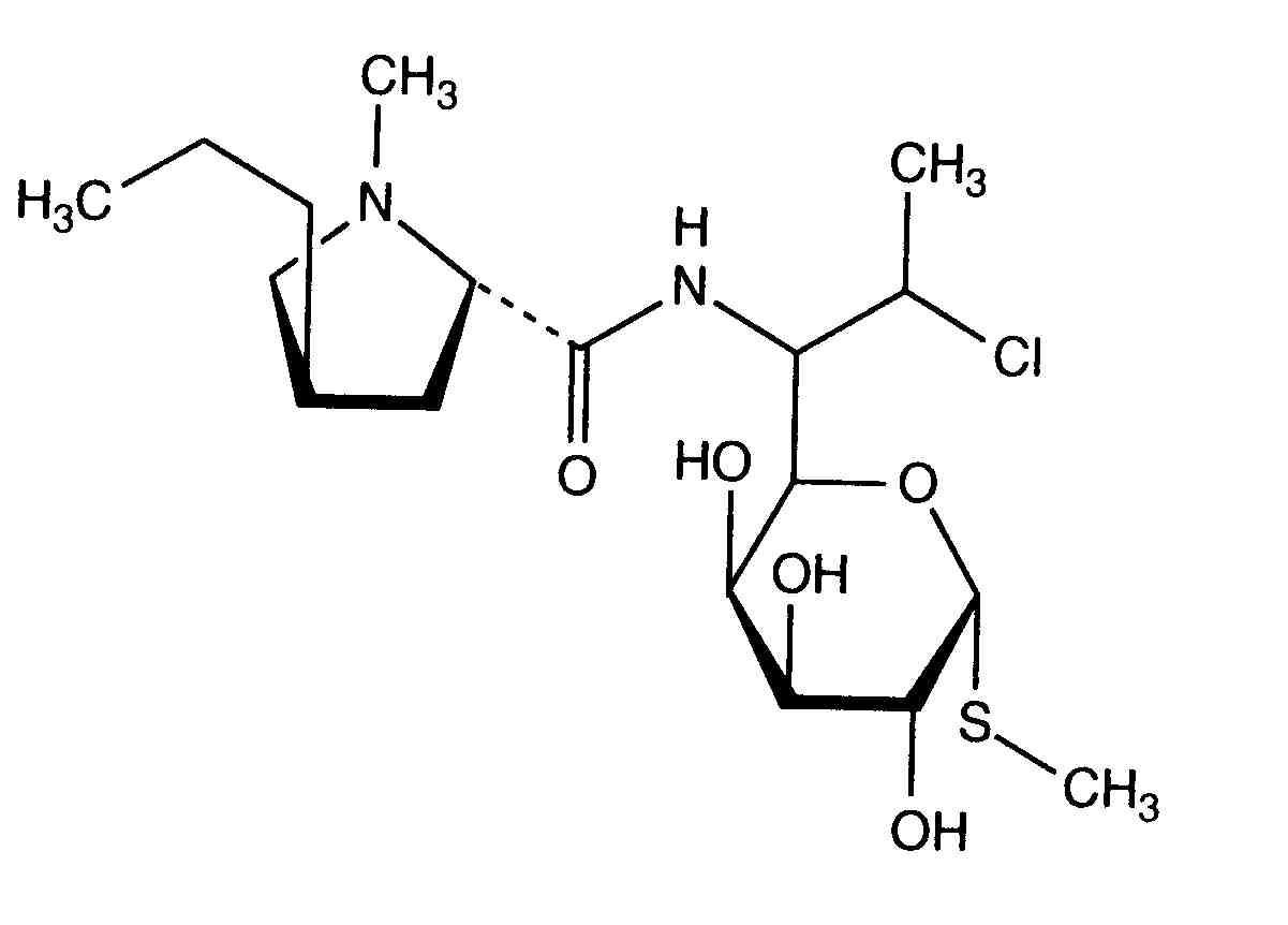
antibiotik   Clindamycine hydrochloride  
oralna otopina
Stabilnost farmaceutskih pripravaka Stabilnost mješavine Stabilizacijski faktor Kompatibilnosti Bibliografija pdf
   Kemijska struktura  

oralna otopina
Stabilnost farmaceutskih pripravaka   oralna otopina     Stabilnost farmaceutskih pripravaka : Clindamycine hydrochloride     
Kontejner Origine pomoćna tvar temperatura Konzerviranje Trajanje stabilnosti Bibliografija
nespecifičan prašak 50 mg
® = ?
Suspendit® >> 5 mL
2-8°C Zaštićeno od svjetlosti
180 dan
3901

nespecifičan prašak 50 mg
® = ?
Suspendit® >> 5 mL
25°C Zaštićeno od svjetlosti
45 dan
3901


  Mentions Légales