Letztes “update” :
27/04/2026
Antibiotikum   Clindamycine hydrochloride  
Lösung zum Einnehmen
Stabilität von pharmazeutischen Präparaten Gemengestabilität Stabilitätbeeinflussende Faktoren Kompatibilitäten Literaturverzeichnis pdf
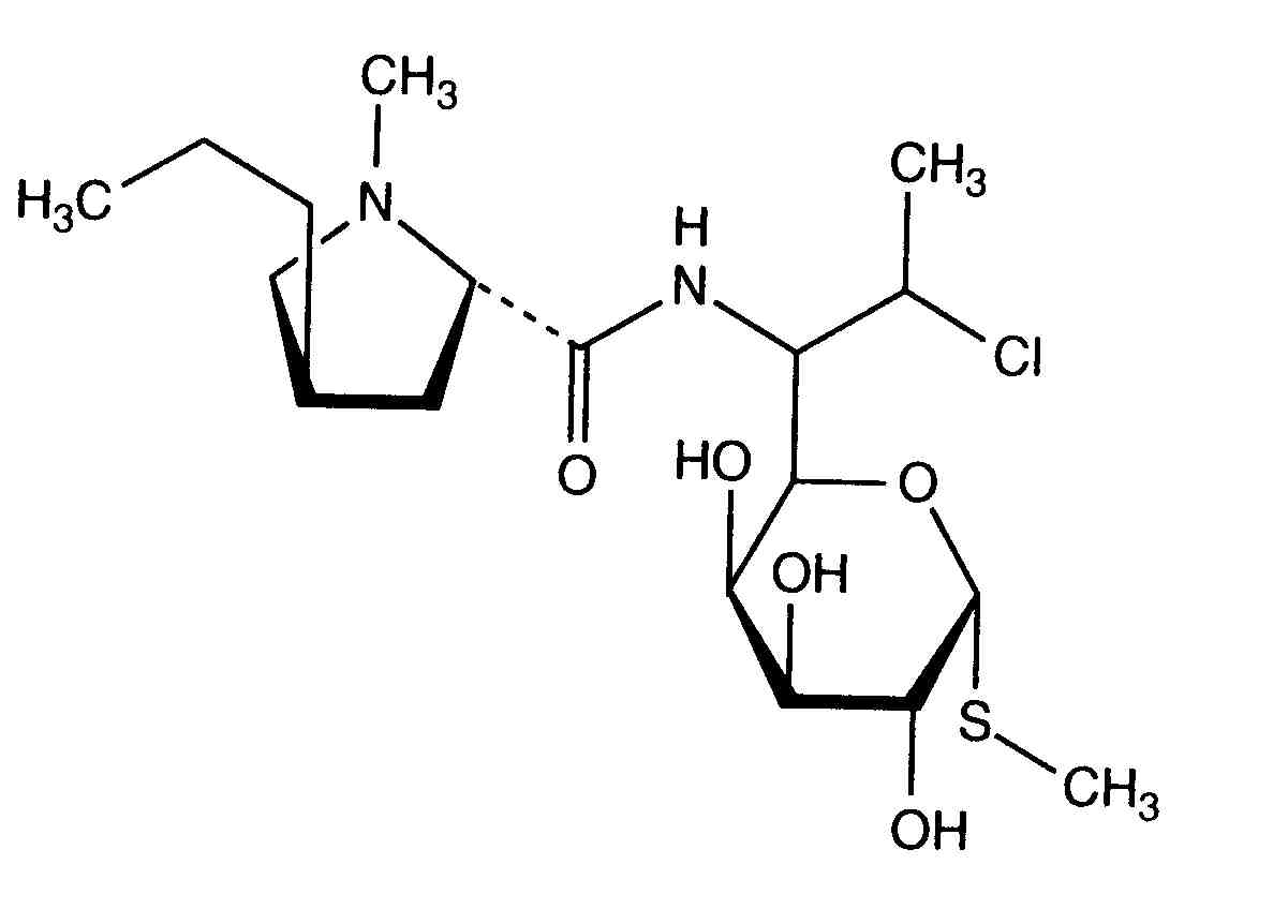
   Chemische Struktur  

Lösung zum Einnehmen
Stabilität von pharmazeutischen Präparaten   Lösung zum Einnehmen   Stabilität von pharmazeutischen Präparaten : Clindamycine hydrochloride     
Behälter Origine Hilfsstoff Temperatur Konservierung Dauer der Stabilität Literaturverzeichnis
Nicht genau angegeben Pulver 50 mg
® = ?
Suspendit® >> 5 mL
2-8°C Ohne Licht
180 Tag
3901

Nicht genau angegeben Pulver 50 mg
® = ?
Suspendit® >> 5 mL
25°C Ohne Licht
45 Tag
3901


  Mentions Légales