viimane versioon :
27/04/2026
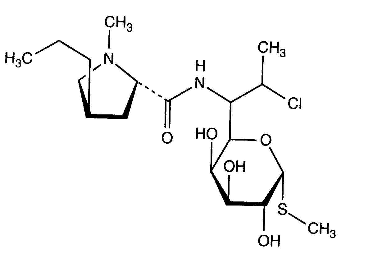
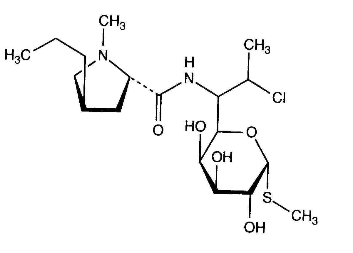
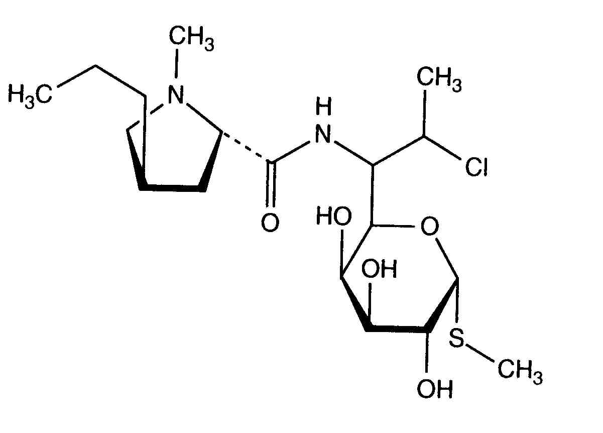
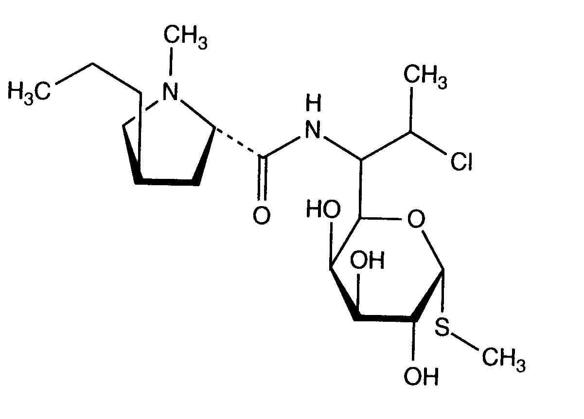
antibiootikum   Clindamycine hydrochloride  
suukaudne lahus
Stabiilsust ravimpreparaadid Stabiilsust mõjutavad tegurid stabiilsust mõjutavad faktorid Sobimatus Viited pdf
   keemiline struktuur  

suukaudne lahus
Stabiilsust ravimpreparaadid   suukaudne lahus   Stabiilsust ravimpreparaadid : Clindamycine hydrochloride     
konteiner Origine  abiaine temperatuur ladustamine Stabiilsuse kestus Viited
pole täpsustatud pulber 50 mg
® = ?
Suspendit® >> 5 mL
2-8°C kaitsta valguse eest
180 päev
3901

pole täpsustatud pulber 50 mg
® = ?
Suspendit® >> 5 mL
25°C kaitsta valguse eest
45 päev
3901


  Mentions Légales