最新更新 :
27/01/2026
抗菌薬   Clindamycine hydrochloride  
経口液
調剤時の安定性 混合時の安定性 安定性に影響する因子 互換性 引用文献 PDF
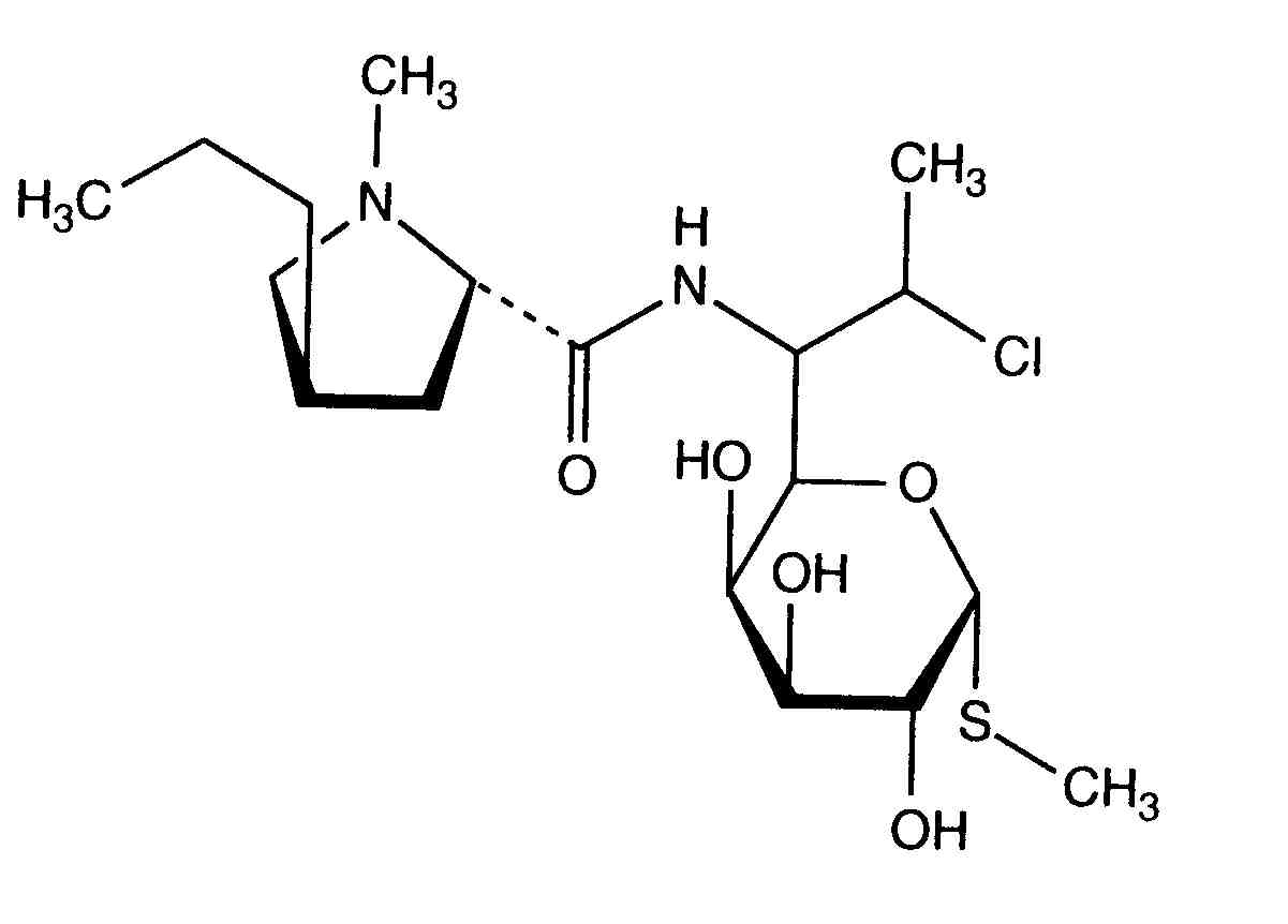
   化学構造  

経口液
調剤時の安定性   経口液   調剤時の安定性 : Clindamycine hydrochloride     
容器 Origine 添加剤 温度 保管 安定期間 引用文献
指定なし 粉 50 mg
® = ?
Suspendit® >> 5 mL
2-8°C 遮光
180 日
3901

指定なし 粉 50 mg
® = ?
Suspendit® >> 5 mL
25°C 遮光
45 日
3901


  Mentions Légales