Последнее обновление :
27/04/2026
Антибиотик   Clindamycine hydrochloride  
Раствор для перорального приёма
Стабильность фармацевтических препаратов Стабильность смесей Факторы, которые влияют на стабильность Совместимость Библиография pdf
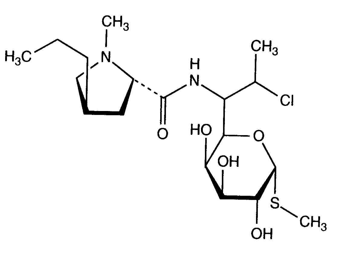
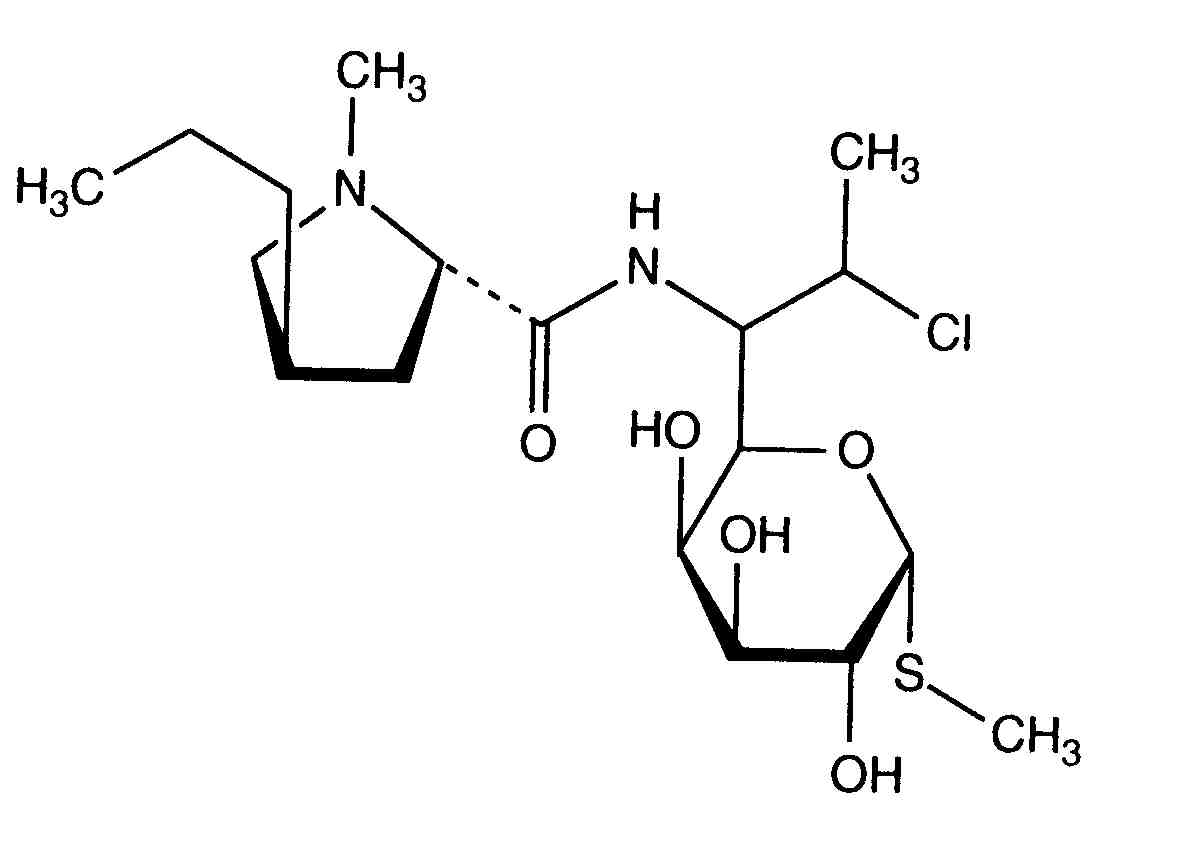
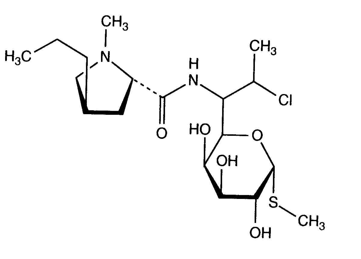
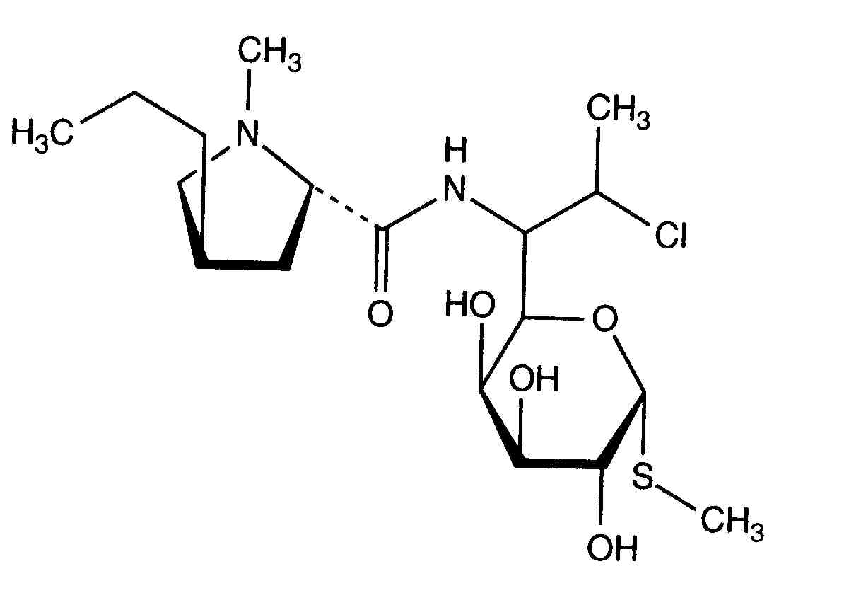
   Химическая структура  

Раствор для перорального приёма
Стабильность фармацевтических препаратов   Раствор для перорального приёма   Стабильность фармацевтических препаратов : Clindamycine hydrochloride     
Упаковка Origine Наполнитель Температура Хранение Продолжительность стабильности Ссылки
Не указано Порошок 50 mg
® = ?
Suspendit® >> 5 mL
2-8°C Защищён от света
180 День
3901

Не указано Порошок 50 mg
® = ?
Suspendit® >> 5 mL
25°C Защищён от света
45 День
3901


  Mentions Légales